UP Board Solutions for Class 11 Physics Chapter 7 System of particles and Rotational Motion (कणों के निकाय तथा घूर्णी गति)
These Solutions are part of UP Board Solutions for Class 11 Physics. Here we have given UP Board Solutions for Class 11 Physics Chapter 7 System of particles and Rotational Motion (कणों के निकाय तथा घूर्णी गति)
अभ्यास के अन्तर्गत दिए गए प्रश्नोत्तर
प्रश्न 1.
एकसमान द्रव्यमान घनत्व के निम्नलिखित पिण्डों में प्रत्येक के द्रव्यमान केन्द्र की अवस्थिति लिखिए –
(a) गोला
(b) सिलिण्डर
(c) छल्ला तथा
(d) घन।
क्या किसी पिण्ड का द्रव्यमान केन्द्र आवश्यक रूप से उस पिण्ड के भीतर स्थित होता है?
उत्तर :
गोला, सिलिण्डर, वलय तथा घन का द्रव्यमान केन्द्र उनको ज्यामितीय केन्द्र होता है। नहीं, द्रव्यमान केन्द्र आवश्यक रूप से पिण्ड के भीतर स्थित नहीं होता है, अनेक पिण्डों; जैसे-वलय में, खोखले गोले में, खोखले सिलिण्डर में द्रव्यमान केन्द्र पिण्ड के बाहर होता है, जहाँ कोई पदार्थ नहीं होता है।
प्रश्न 2.
HCl अणु में दो परमाणुओं के नाभिकों के बीच पृथकन लगभग 1.27 A (1Å = 10-10 m) है। इस अणु के द्रव्यमान केन्द्र की लगभग अवस्थिति ज्ञात कीजिए। यह ज्ञात है कि क्लोरीन का परमाणु हाइड्रोजन के परमाणु की तुलना में 35.5 गुना भारी होता है तथा किसी परमाणु का समस्त द्रव्यमान उसके नाभिक पर केन्द्रित होता है।

![]()
प्रश्न 3.
कोई बच्चा किसी चिकने क्षैतिज फर्श पर एकसमान चाल υ से गतिमान किसी लम्बी ट्रॉली के एक सिरे पर बैठा है। यदि बच्चा खड़ा होकर ट्रॉली पर किसी भी प्रकार से दौड़ने लगता है, तब निकाय (ट्रॉली + बच्चा) के द्रव्यमान केन्द्र की चाल क्या है?
उत्तर :
चूंकि ट्रॉली एक चिकने क्षैतिज फर्श पर गति कर रही है; अतः फर्श के चिकना होने के कारण निकाय पर क्षैतिज दिशा में कोई बाह्य बल कार्य नहीं करता है। जब बच्चा ट्रॉली पर दौड़ता है तो बच्चे द्वारा ट्रॉली पर

प्रश्न 4.
दर्शाइए कि [latex]\xrightarrow { a } [/latex] एवं [latex]\xrightarrow { b } [/latex] के बीच बने त्रिभुज का क्षेत्रफल [latex]\xrightarrow { a } [/latex] x [latex]\xrightarrow { b } [/latex] के परिमाण का आधा है।

![]()
प्रश्न 5.
दर्शाइए कि [latex]\xrightarrow { a } [/latex].([latex]\xrightarrow { b } [/latex] x [latex]\xrightarrow { c } [/latex]) का परिमाण तीन सदिशों [latex]\xrightarrow { a } [/latex], [latex]\xrightarrow { b } [/latex] तथा [latex]\xrightarrow { c } [/latex] से बने समान्तर षट्फलक के आयतन के बराबर है।


अत: ज्यामितीय दृष्टिकोण से [latex]\xrightarrow { a } [/latex] •([latex]\xrightarrow { b } [/latex] x [latex]\xrightarrow { c } [/latex]) उस समान्तर षट्फलक का आयतन है, जिसकी तीन संलग्न भुजाएँ सदिशों [latex]\xrightarrow { a } [/latex], [latex]\xrightarrow { b } [/latex] व [latex]\xrightarrow { c } [/latex] से निरूपित होती हैं।
प्रश्न 6.
एक कण, जिसके स्थिति सदिश [latex]\xrightarrow { r } [/latex] के x, y, z – अक्षों के अनुदिश अवयव क्रमशः x,y,s हैं और रेखीय संवेग सदिश [latex]\xrightarrow { p } [/latex] के अवयव px, py, ps हैं, कोणीय संवेग [latex]\xrightarrow { 1 } [/latex] के अक्षों के अनुदिश अवयव ज्ञात कीजिए। दर्शाइए कि यदि कण केवल x-y तल में ही गतिमान हो तो। कोणीय संवेग का केवल z – अवयव ही होता है।


![]()
प्रश्न 7.
दो कण जिनमें से प्रत्येक का द्रव्यमान m एवं चाल υ है, d दूरी पर समान्तर रेखाओं के अनुदिश, विपरीत दिशाओं में चल रहे हैं। दर्शाइए कि इस द्विकण निकाय का सदिश कोणीय संवेग समान रहता है, चाहे हम जिस बिन्दु के परितः कोणीय संवेग लें।
उत्तर :
माना दो कण समान्तर रेखाओं AB तथा CD के अनुदिश परस्पर विपरीत दिशाओं में चाल से गति कर रहे हैं।
माना किसी क्षण इनकी स्थितियाँ क्रमश: बिन्दु P तथा Q हैं। हम एक बिन्दु O (UPBoardSolutions.com) के परितः इस निकाय का कोणीय संवेग ज्ञात करना चाहते हैं।

इस प्रकारं द्विकर्ण निकाय का बिन्दु O के परितः कोणीय संवेग केवल m, υ तथा रेखाओं के बीच की दूरी d पर निर्भर करता है अर्थात् यह कोणीय संवेग बिन्दु O की स्थिति पर निर्भर नहीं करता है।
अतः इस द्विकण निकाय का सभी बिन्दुओं के परितः कोणीय संवेग नियत है।
प्रश्न 8.
w भार की एक असंमांग छड़ को, उपेक्षणीय 3 भार वाली दो डोरियों से चित्र 7.4 में दर्शाए अनुसार लटकांकर विरामावस्था में रखा गया है। डोरियों द्वारा ऊध्र्वाधर से बने कोण क्रमशः 36.9° एवं 53.1° हैं। छड़ 2 m लम्बाई की है। छड़ के बाएँ सिरे से इसके गुरुत्व केन्द्र की दूरी d ज्ञात कीजिए।

हल : माना छड़ AB का गुरुत्व केन्द्र G, उसके एक सिरे A से ‘d दूरी पर स्थित है। (UPBoardSolutions.com) छड़ तीन बलों के अधीन सन्तुलन में है।

डोरियों में तनाव T1 तथा T2 डोरियों के अनुदिश ऊपर 3 की ओर कार्य करते हैं।
छड़ का भार W उसके गुरुत्व केन्द्र G पर ऊर्ध्वाधरत: नीचे की ओर कार्य करता है।
सन्तुलन की स्थिति में तीनों बलों की क्रिया-रेखाएँ एक ही बिन्दु O पर काटती हैं।

![]()
प्रश्न 9.
एक कार का भार 1800 kg है। इसकी अगली और पिछली धुरियों के बीच की दूरी 1.8 m है। इसका गुरुत्व केन्द्र, अगली धुरी से 1.05 m पीछे है। समतल धरती द्वारा। इसके प्रत्येक अगले और पिछले पहियों पर लगने वाले बल की गणना कीजिए।
हल : माना भूमि द्वारा प्रत्येक अगले पहिए पर आरोपित प्रतिक्रिया बल R1 व प्रत्येक पिछले पहिए पर आरोपित प्रतिक्रिया बले R2 है तब निकाय के ऊर्ध्वाधर सन्तुलन के लिए,
2R1 + 2R2 = W ……(1)
जहाँ W कार का भार है जो उसके (UPBoardSolutions.com) गुरुत्व केन्द्र G पर कार्यरत है।
G के सापेक्ष आघूर्ण लेने पर
2R1 × 1.05 = 2R2 × (1.8 – 1.05)
या
R1 × 1.05 = R2 × 0.75

प्रश्न 10.
(a) किसी गोले को, इसके किसी व्यास के परितः जड़त्व – आघूर्ण 2MR2/5 है, जहाँ M गोले का द्रव्यमान एवं R इसकी त्रिज्या है। गोले पर खींची गई स्पर्श रेखा के परितः इसका जड़त्व-आघूर्ण ज्ञात कीजिए।
(b) M द्रव्यमान एवं R त्रिज्या वाली किसी डिस्क का इसके किसी व्यास के परित; “जड़त्व-आघूर्ण MR2 /4 है। डिस्क के लम्बवत् इसकी कोर से गुजरने वाली अक्ष के परितः
इस डिस्क (चकती) का जड़त्व-आघूर्ण ज्ञात कीजिए।
उत्तर :
(a) दिया है : गोले का द्रव्यमान = M, त्रिज्या = R
रेखा AB गोले की एक स्पर्श रेखा है जिसके परितः गोले का जड़त्व-आघूर्ण ज्ञात करना है। स्पर्श रेखा AB के समान्तर, गोले का एक व्यास PQ खींचा।
प्रश्नानुसार, व्यास PQ (जो कि गोले के केन्द्र से जाता है) के परितः गोले का जड़त्व-आघूर्ण।



![]()
प्रश्न 11.
समान द्रव्यमान और त्रिज्या के एक खोखले बेलन और एक ठोस गोले पर समान परिमाण के बल-आघूर्ण लगाए गए हैं। बेलन अपनी सामान्य सममित अक्ष के परितः घूम सकता है और गोला अपने केन्द्र से गुजरने वाली किसी अक्ष के परितः। एक दिए गए समय के बाद दोनों में कौन अधिक कोणीय चाल प्राप्त कर लेगा?
उत्तर :
खोखले बेलन का अपनी सामान्य सममित अक्ष के परितः जड़त्व आघूर्ण
Ic = MR2 …..(1)
ठोस गोले का अपने केन्द्र से गुजरने वाली अक्ष के परित: जड़त्व आघूर्ण
Is = [latex]\frac { 2 }{ 5 } [/latex] MR2 …..(2)

प्रश्न 12.
20 kg द्रव्यमान का कोई ठोस सिलिण्डर अपने अक्ष के परितः 100 rad s-1 की कोणीय चाल से घूर्णन कर रहा है। सिलिण्डर की त्रिज्या 0.25 m है। सिलिण्डर के घूर्णन से सम्बद्ध गतिज ऊर्जा क्या है? सिलिण्डर का अपने अक्ष के परितः कोणीय संवेग का परिमाण क्या है?
हल : ठोस सिलिण्डर का द्रव्यमान M = 20 किग्रा, सिलिण्डर की त्रिज्या R = 0.25 मी
∴ ठोस सिलिण्डर का अपनी अक्ष के परितः जड़त्व आघूर्ण,

प्रश्न 13.
(a) कोई बच्चा किसी घूर्णिका (घूर्णीमंच) पर अपनी दोनों भुजाओं को बाहर की ओर फैलाकर खड़ा है। घूर्णिका को 40 rev/min की कोणीय चाल से घूर्णन कराया जाता है। यदि बच्चा अपने हाथों को वापस सिकोड़कर अपना जड़त्व-आघूर्ण अपने आरम्भिक जड़त्व-आघूर्ण [latex]\frac { 2 }{ 5 } [/latex] गुना कर लेता है तो इस स्थिति में उसकी कोणीय चाल क्या होगी? यह मानिए कि घूर्णिका की घूर्णन गति घर्षणरहित है।
(b) यह दर्शाइए कि बच्चे की घूर्णन की नयी गतिज ऊर्जा उसकी आरम्भिक घूर्णन की गतिज ऊर्जा से अधिक है। आप गतिज ऊर्जा में हुई इस वृद्धि की व्याख्या किस प्रकार करेंगे?

![]()
अब चूँकि अन्तिम जड़त्व आघूर्ण प्रारम्भिक जड़त्व आघूर्ण का 2/5 है, अत: अन्तिम घूर्णन गतिज ऊर्जा प्रारम्भिक मान की 5/2 गुनी हो जायेगी अर्थात् घूर्णन की नयी गतिज ऊर्जा प्रारम्भिक गतिज ऊर्जा से अधिक है।
इसका कारण यह है कि बच्चे द्वारा हाथों को वापस सिकोड़ने में व्यय रासायनिक ऊर्जा घूर्णन गतिज ऊर्जा में बदल जाती है।
प्रश्न 14.
3 kg द्रव्यमान तथा 40 cm त्रिज्या के किसी खोखले सिलिण्डर पर कोई नगण्य द्रव्यमान की रस्सी लपेटी गई है। यदि रस्सी को 30 N बल से खींचा जाए तो सिलिण्डर का कोणीय त्वरण क्या होगा। रस्सी का रैखिक त्वरण क्या है? यह मानिए कि इस प्रकरण में कोई फिसलन नहीं है?
हल : यदि बेलन का द्रव्यमान M तथा त्रिज्या R हो तो यहाँ M = 3.0 किग्रा तथा R = 40 सेमी = 0.40 मीटर
अत: खोखले बेलन का अपनी अक्ष के परितः जड़त्व आघूर्ण –

प्रश्न 15.
किसी घूर्णक (रोटर) की 200 rads-1 की एकसमान कोणीय चालक्नाए रखने के लिए एक इंजन द्वारा 180 N- m का बल-आघूर्ण प्रेषित करना आवश्यक होता है। इंजन के लिए आवश्यक शक्ति ज्ञात कीजिए। (नोट : घर्षण की अनुपस्थिति में एकसमान कोणीय वेग होने में यह समाविष्ट है कि बल-आघूर्ण शून्य है। व्यवहार में लगाए गए बल-आघूर्ण की। आवश्यकता घर्षणी बल-आघूर्ण को निरस्त करने के लिए होती है।) यह मानिए कि इंजन की दक्षता 100% है।
हल : दिया है ω = 200 rad s-1 (नियत है), बल-आघूर्ण τ = 180 Nm
इंजन के लिए आवश्यक शक्ति
P = इंजन द्वारा घूर्णक को दी गई शक्ति [∵ η = 100%]
= τ ω = 180 N m × 200rad s-1
= 36 × 10 w = 36 kW
![]()
प्रश्न 16.
R त्रिज्या वाली समांग डिस्क से [latex]\frac { R }{ 2 }[/latex] त्रिज्या का एक वृत्ताकार भाग काट कर निकाल दिया गया है। इस प्रकार बने वृत्ताकार सुराख का केन्द्र मूल डिस्क के केन्द्र से [latex]\frac { R }{ 2 }[/latex] दूरी पर है। अवशिष्ट डिस्क के गुरुत्व केन्द्र की स्थिति ज्ञात कीजिए।
उत्तर :
माना दिए हुए वृत्ताकार पटल का केन्द्र O और व्यास AB है।
OA = OB = R = त्रिज्या
इस पटल से, व्यास OB को एक वृत्त काट कर निकाल दिया जाता है।
स्पष्टत: दिए हुए पटल का गुरुत्व केन्द्र O पर तथा काटे गए वृत्त का गुरुत्व केन्द्र उसके केन्द्र G1 पर होगा, जबकि
OG1 = [latex]\frac { 1 }{ 2 }[/latex]. OB = [latex]\frac { 1 }{ 2 }[/latex] R

∵ वृत्तों के क्षेत्रफल उनकी त्रिज्याओं के वर्गों के अनुपात में होते हैं।

प्रश्न 17.
एक मीटर छड़ के केन्द्र के नीचे क्षुर-धार रखने पर वह इस पर सन्तुलित हो जाती है जब दो सिक्के, जिनमें प्रत्येक का द्रव्यमान 5 g है, 12.0 cm के चिह्न पर एक के ऊपर एक रखे जाते हैं तो छड़ 45.0 cm चिह्न पर सन्तुलित हो जाती है। मीटर छड़ का द्रव्यमान क्या है?

हल : माना मीटर छड़ का द्रव्यमान m g है।
प्रश्नानुसार, प्रथम स्थिति में छड़ अपने मध्य बिन्दु पर सन्तुलित होती है। इसका अर्थ यह है कि छड़ का गुरुत्व केन्द्र उसके मध्य बिन्दु पर है। दूसरी दशा में, छड़ पर दो बल लगे हैं,
(1) सिक्कों का भार W1 = 10g, बिन्दु C पर जहाँ AC = 12 cm
(2) छड़ का भार W2 = mg, मध्य बिन्दु G पर
छड़ D बिन्दु पर सन्तुलित होती है, जहाँ AD = 45 cm
यहाँ D आलम्ब है।
अतः आघूर्गों के सिद्धान्त से,


प्रश्न 18.
एक ठोस गोला, भिन्न नति के दो आनत तलों पर एक ही ऊँचाई से लुढ़कने दिया जाता है।
(a) क्या वह दोनों बार समान चाल से तली में पहुँचेगा?
(b) क्या उसको एक तल पर लुढ़कने में दूसरे से अधिक समय लगेगा?
(c) यदि हाँ, तो किस पर और क्यों?
उत्तर :
(a) θ झुकाव कोण तथा h ऊँचाई के आनत तल पर लुढ़कने वाले सममित पिण्ड का पृथ्वी तल पर पहुँचने पर वेग υ हो तो –

![]()
यहाँ पर स्पष्ट है कि गोले को तली पर पहुँचने का वेग आनत तल के झुकाव कोण 8 पर निर्भर नहीं करता, अतः गोला दोनों आनत तलों की तली पर समान चाल से पहुँचेगा।
(b) यदि आनत तल की लम्बाई s हो तथा गोले द्वारा तली तक पहुँचने में लिया गया समय t हो तो –


चूँकि लिया गया समय आनत तल के झुकाव कोण पर निर्भर करता है, अतः दोनों तलों पर लुढ़कने का समय भिन्न-भिन्न होगा।
(c) चूंकि t α 1/sin θ तथा 8 का मान बढ़ने से sin θ का मान बढ़ता है।
अतः θ के कम मान के लिए sin θ का मान कम होने के कारण t का मान अधिक होगा अर्थात् कम ढाल वाले तल पर लुढ़कने में लिया गया समय अधिक होगा।
प्रश्न 19.
2 m त्रिज्या के एक वलय (छल्ले) का भार 100 kg है। यह एक क्षैतिज फर्श पर इस प्रकार लोटनिक गति करता है कि इसके द्रव्यमान केन्द्र की चाल 20 cm/s हो। इसको रोकने के लिए कितना कार्य करना होगा ?
हल : छल्ले की त्रिज्या R =2 मी, इसका द्रव्यमान M = 100 किग्रा, द्रव्यमान केन्द्र की चाल υ = 2 सेमी/से = 0.20 मी/से।
चूँकि छल्ला लोटनिक गति करता आगे बढ़ रही है,
अतः इसकी कुल गतिज ऊर्जा K = स्थानान्तरीय गतिज ऊर्जा + घूर्णी गतिज ऊर्जा

प्रश्न 20.
ऑक्सीजन अणु का द्रव्यमान 5.30 × 10-26 kg है तथा इसके केन्द्र से होकर गुजरने वाली और इसके दोनों परमाणुओं को मिलाने वाली रेखा के लम्बवत् अक्ष के परितः जड़त्व-आघूर्ण 1.94 × 10-46 kg-m2 है। मान लीजिए कि गैस के ऐसे अणु की औसत चाल 500 m/s है और इसके घूर्णन की गतिज ऊर्जा, स्थानान्तरण की गतिज ऊर्जा की दो-तिहाई है। अणु का औसत कोणीय वेग ज्ञात कीजिए।
हल : ऑक्सीजन अणु का द्रव्यमान M = 5.30 × 10-26 किग्रा
इसका जड़त्व आघूर्ण I = 1.94 × 10-46 किग्रा-मी2
अणु की औसत चाल υ = 500 मी/से

![]()
प्रश्न 21.
एक बेलन 30° कोण बनाते आनत तल पर लुढ़कता हुआ ऊपर चढ़ता है। आनत तल की तली में बेलन के द्रव्यमान केन्द्र की चाल 5 m/s है।
(a) आनत तल पर बेलन कितना ऊपर जाएगा?
(b) वापस तली तक लौट आने में इसे कितना समय लगेगा?



अतिरिक्त अभ्यास
प्रश्न 22.
जैसा चित्र-7.14 में दिखाया गया है, एक खड़ी होने वाली सीढी के दो पक्षों BA और CA की लम्बाई 1.6m है और इनको A पर कब्जा लगाकर जोड़ा गया है। इन्हें ठीक बीच में 0.5m लम्बी रस्सी DE द्वारा बाँधा गया है। सीढ़ी BA के अनुदिश B से 1.2 m की दूरी पर स्थित बिन्दु F से 40 kg का एक भार लटकाया गया है। यह मानते हुए कि फर्श घर्षणरहित है और सीढी का भार उपेक्षणीय है, रस्सी में तनाव और सीदी पर फर्श द्वारा लगाया गया बल ज्ञात कीजिए।(g =9.8 m/s2 लीजिए)
[संकेत : सीढ़ी के दोनों ओर के सन्तुलन पर अलग-अलग विचार कीजिए]

हल : माना सीढ़ी के निचले सिरों पर फर्श की प्रतिक्रिया R1 तथा R2 है तथा डोरी का तनाव T है। माना सीढ़ी की दोनों भुजाएँ ऊध्र्वाधर से कोण से बनाती हैं [चित्र 7.15]।


![]()
प्रश्न 23.
कोई व्यक्ति एक घूमते हुए प्लेटफॉर्म पर खड़ा है। उसने अपनी दोनों बाहें फैला रखी हैं और उनमें से प्रत्येक में 5 kg भार पकड़ रखा है। प्लेटफॉर्म की कोणीय चाल 30 rev/min है। फिर वह व्यक्ति बाहों को अपने शरीर के पास ले आता है जिससे घूर्णन अक्ष से प्रत्येक भार की दूरी 90 cm से बदलकर 20 cm हो जाती है। प्लेटफॉर्म सहित व्यक्ति के जड़त्व आघूर्ण का मान 7.6 kg-m2 ले सकते हैं।
(a) उसका नया कोणीय वेग क्या है? (घर्षण की उपेक्षा कीजिए)
(b) क्या इस प्रक्रिया में गतिज ऊर्जा संरक्षित होती है? यदि नहीं, तो इसमें परिवर्तन का स्रोत क्या है?


अत: इस प्रक्रिया में गतिज ऊर्जा संरक्षित नहीं रहती बल्कि बढ़ती है तथा इस परिवर्तन (वृद्धि) का स्रोत व्यक्ति की मांसपेशीय रासायनिक ऊर्जा का गतिज ऊर्जा में परिवर्तित होना है।
प्रश्न 24.
10 g द्रव्यमान और 500 m/s चाल वाली बन्दूक की गोली एक दरवाजे के ठीक केन्द्र में टकराकर उसमें अंतः स्थापित हो जाती है। दरवाजा 1.0m चौड़ा है और इसका द्रव्यमान 12 kg है। इसके एक सिरे पर कब्जे लगे हैं और यह इनसे गुजरती एक ऊर्ध्वाधर अक्ष के परितः लगभग बिना घर्षण के घूम सकता है; गोली के दरवाजे में अन्तःस्थापना के ठीक बाद इसका कोणीय वेग ज्ञात कीजिए।
[संकेत : एक सिरे से गुजरती ऊध्र्वाधर अक्ष के परितः दरवाजे का जड़त्व-आघूर्ण ML2/3 है]

प्रश्न 25.
दो चक्रिकाएँ जिनके अपने-अपने अक्षों (चक्रिका के अभिलम्बवत् तथा चक्रिका के केन्द्र से गुजरने वाले) के परितः जड़त्व-आघूर्ण I1 तथा I2 हैं और जो ω1 तथा ω2 कोणीय चालों से घूर्णन कर रही हैं, को उनके घूर्णन अक्ष सम्पाती करके आमने-सामने (सम्पर्क में) लाया जाता है।
(a) इस दो चक्रिका निकाय की कोणीय चाल क्या है?
(b) यह दर्शाइए कि इस संयोजित निकाय की गतिज ऊर्जा दोनों चक्रिकाओं की आरम्भिक गतिज ऊर्जाओं के योग से कम है। ऊर्जा में हुई इस हानि की आप कैसे व्याख्या करेंगे? ω1 ≠ ω2 लीजिए।
उत्तर :
(a) माना सम्पर्क में आने के पश्चात् दोनों चक्रिकाएँ उभयनिष्ठ कोणीय वेग ω से घूर्णन करती हैं।
∵ निकाय पर बाह्य बल आघूर्ण शून्य है, अतः निकाय का कोणीय संवेग संरक्षित रहेगा।


अर्थात् संयोजित निकाय की गतिज ऊर्जा चक्रिकाओं की आरम्भिक गतिज ऊर्जाओं के योग से कम है।
गतिज ऊर्जा में हानि, चक्रिकाओं की सम्पर्कित सतहों के बीच घर्षण बल के कारण हुई है।
![]()
प्रश्न 26.
(a) लम्बवत् अक्षों के प्रमेय की उपपत्ति करें। [संकेत:(x, y) तल के लम्बवत् मूलबिन्दु से गुजरती अक्ष से किसी बिन्दु x – y की दूरी का वर्ग (x2 + y2) है।
(b) समान्तर अक्षों के प्रमेय की उपपत्ति करें। [संकेत : यदि द्रव्यमान केन्द्र को मूलबिन्दु ले लिया जाए ∑ [latex]\overrightarrow { m }[/latex] i [latex]\overrightarrow { r }[/latex] i = [latex]\overrightarrow { 0 }[/latex]

उत्तर :
(a) लम्बवत् अक्षों की प्रमेय (Theorem of Perpendicular Axes) – इस प्रमेय के अनुसार, “किसी समपटल का उसके तल के लम्बवत् तथा द्रव्यमान केन्द्र से जाने वाली अक्ष के परितः जड़त्व-आघूर्ण (Is), समपटल के तल में स्थित तथा द्रव्यमान केन्द्र से जाने वाली दो परस्पर लम्बवत् अक्षों के परितः समपटल के जड़त्व-आघूर्णी (Ix तथा Iy) के योग के बराबर होता है।”


(b) समान्तर अक्षों की प्रमेय (Theorem of Parallel Axes) – इस प्रमेय के अनुसार, “किसी पिण्ड का किसी अक्ष के परितः जड़त्व-आघूर्ण I, उस पिण्ड के द्रव्यमान केन्द्र से होकर जाने वाली समान्तर अक्ष के परितः जड़त्व-आघूर्ण Icm तथा पिण्ड के द्रव्यमान M व दोनों समान्तर अक्षों के बीच की लम्बे दूरी d के वर्ग के गुणनफल के योग के बराबर होता है।”
अर्थात् I = Icm + Md2

उपपत्ति – माना पिण्ड के भीतर स्थित m द्रव्यमान के किसी कण की दी गई अक्ष AB से दूरी r है तथा द्रव्यमान केन्द्र C से गुजरने वाली AB के समान्तर अक्ष EF से कण की दूरी a है। माना दोनों अक्षों AB व EF के बीच की लम्बवत् दूरी 4 है। तब चित्र-7.17 से, r = a + d

प्रश्न 27.
सूत्र υ2 = 2gh / (1 + k2/R2) को गतिकीय दृष्टि (अर्थात् बलों तथा बल-आघूर्गों विचार) से व्युत्पन्न कीजिए। जहाँ लोटनिक गति करते पिण्ड (वलय, डिस्क, बेलन या गोला) का आनत तल की तली में वेग है। आनत तल पर hवह ऊँचाई है जहाँ से पिण्ड गति प्रारम्भ करता है। K सममित अक्ष के परितः पिण्ड की घूर्णन त्रिज्या है और R पिण्ड की त्रिज्या है।
उत्तर :

माना M द्रव्यमान तथा R त्रिज्या का कोई गोलीय पिण्ड, जिसका द्रव्यमान केन्द्र C है, ऐसे आनत तल पर लुढ़कता है, जो क्षैतिज से θ कोण पर झुका है। इस स्थिति में पिण्ड पर निम्नलिखित बल कार्य करते हैं –
- पिण्ड का भार Mg, ऊर्ध्वाधर नीचे की ओर
- आनत तल की प्रतिक्रिया N, तल के लम्बवत् ऊपर की ओर
- आनत तल द्वारा पिण्ड पर आरोपित स्पर्शरेखीय चित्र-7.18 स्थैतिक घर्षण-बल fs आनत तल के समान्तर ऊपर की ओर।
घर्षण-बल fs ही पिण्ड को फिसलने से रोकता है। माना पिण्ड के द्रव्यमान केन्द्र का आनत तल के अनुदिश नीचे की ओर रेखीय त्वरण a है। इन बलों को आनत तल के समान्तर तथा लम्बवत् घटकों में वियोजित करने पर,

प्रश्न 28.
अपने अक्ष पर ω0 कोणीय चाल से घूर्णन करने वाली किसी चक्रिका को धीरे से (स्थानान्तरीय धक्का दिए बिना किसी पूर्णतः घर्षणरहित मेज पर रखा जाता है। चक्रिका की त्रिज्या R , है। चित्र-7.19 में दर्शाई चक्रिका के बिन्दुओं A, B तथा पर रैखिक वेग क्या हैं? क्या यहं चक्रिका चित्र में दर्शाई दिशा में लोटनिक गति करेगी?

उत्तर :
चूँकि चक्रिका तथा मेज के बीच कोई घर्षण बल नहीं है; अत: चक्रिका लोटनिक गति नहीं कर पाएगी तथा मेज के एक ही बिन्दु B के संम्पर्क में रहते हुए अपनी अक्ष के परितः शुद्ध घूर्णी गति करती रहेगी।
बिन्दु A की अक्ष से दूरी = R
∴बिन्दु A पर रैखिक वेग υA = R ω0 तीर की दिशा में होगा।
इसी प्रकार बिन्दु B पर रैखिक वेग υB = R ω0
बिन्दु B पर दिखाए गए तीर के विपरीत दिशा में होगा।
∵ बिन्दु C की अक्ष से दूरी = [latex]\frac { R }{ 2 } [/latex]
∴ बिन्दु C पर रैखिक वेग υc = [latex]\frac { R }{ 2 } [/latex] ω0 क्षैतिजत: बाएँ से दाएँ को होगा।
यह पहले ही स्पष्ट है कि चक्रिका लोटनिक गति नहीं करेगी।
![]()
प्रश्न 29.
स्पष्ट कीजिए कि चित्र-7.19 में अंकित दिशा में चक्रिका की लोटनिक गति के लिए घर्षण होना आवश्यक क्यों है?
(a) B पर घर्षण बल की दिशा तथा परिशुद्ध लुढ़कन आरम्भ होने से पूर्व घर्षणी बल-आघूर्ण की दिशा क्या है?
(b) परिशुद्ध लोटनिक गति आरम्भ होने के पश्चात् घर्षण बल क्या है?
उत्तर :
चक्रिका मूलतः शुद्ध घूर्णी गति कर रही है जबकि लोटनिक गति प्रारम्भ होने का अर्थ घूर्णी गति के साथ-साथ स्थानान्तरीय गति का भी होना है, परन्तु स्थानान्तरीय गति प्रारम्भ होने के लिए बाह्य बल आवश्यक है। अत: चक्रिका की लोटनिक गति होने के लिए घर्षण बल (वर्णित परिस्थिति में एकमात्र बाह्य बले घर्षण बल ही हो सकता है) आवश्यक है।
(a) बिन्दु B पर घर्षण बल की दिशा तीर द्वारा प्रदर्शित दिशा में (बिन्दु B की अपनी गति की दिशा के विपरीत) है जबकि घर्षण बल के कारण उत्पन्न बल-आघूर्ण की दिशा कागज के तल के लम्बवत् बाहर की ओर है।
(b) घर्षण बल बिन्दु B को मेज के सम्पर्क बिन्दु के सापेक्ष विराम में लाना चाहता है, जब ऐसा हो जाता है तो परिशुद्ध लोटनिक गति प्रारम्भ हो जाती है।
अब चूँकि सम्पर्क बिन्दु पर कोई सरकन नहीं है; अतः घर्षण बल शून्य हो जाता है।
प्रश्न 30.
10 cm त्रिज्या की कोई ठोस चक्रिका तथा इतनी ही त्रिज्या का कोई छल्ला किसी क्षतिज मेज पर एक ही क्षण 10 π rad s-1 की कोणीय चाल से रखे जाते हैं। इनमें से कौन पहले लोटनिक गति आरम्भ कर देगा। गतिज घर्षण गुणांक µk =0.2।
हल : माना मेज पर रखे जाने के t s पश्चात् कोई पिण्ड लोटनिक गति प्रारम्भ करता है। द्रव्यमान केन्द्र की स्थानान्तरीय गति प्रारम्भ कराने के लिए आवश्यक बल घर्षण बल से मिलता है। यदि इस दौरान द्रव्यमान केन्द्र का त्वरण a है तो
F = ma से, µk mg = ma


चक्रिका तथा छल्ले को लोटनिक गति’ प्रारम्भ करने में क्रमश: 0.17s तथा 0.25s लगेंगे। स्पष्ट है कि चक्रिको पहले लोटनिक गति प्रारम्भ करेगी।
![]()
प्रश्न 31.
10 kg द्रव्यमान तथा 15 cm त्रिज्या का कोई सिलिण्डर किसी 30° झुकाव के समतल पर परिशुद्धतः लोटनिक गति कर रहा है। स्थैतिक घर्षण गुणांक µs = 0.25 है।
(a) सिलिण्डर पर कितना घर्षण बल कार्यरत है?
(b) लोटन की अवधि में घर्षण के विरुद्ध कितना कार्य किया जाता है?
(c) यदि समतल के झुकाव θ में वृद्धि कर दी जाए तो के किस मान पर सिलिण्डर परिशुद्धतः लोटनिक गति करने की बजाय फिसलना आरम्भ कर देगा?


अतः जब नत समतल को झुकाव कोण 37° हो जायेगा तो सिलिण्डर फिसलने लगेगा।
प्रश्न 32.
नीचे दिए गए प्रत्येक प्रकथन को ध्यानपूर्वक पढिए तथा कारण सहित उत्तर दीजिए कि इनमें से कौन-सा सत्य है और कौन-सा असत्य?
(a) लोटनिक गति करते समय घर्षण बल उसी दिशा में कार्यरत होता है जिस दिशा में पिण्ड का द्रव्यमान केन्द्र गति करता है।
(b) लोटनिक गति करते समय सम्पर्क बिन्दु की तात्क्षणिक चाल शून्य होती है।
(c) लोटनिक गति करते समय सम्पर्क बिन्दु का तात्क्षणिक त्वरण शून्य होता है।
(d) परिशुद्ध लोटनिक गति के लिए घर्षण के विरुद्ध किया गया कार्य शून्य होता है।
(e) किसी पूर्णतः घर्षणरहित आनत समतल पर नीचे की ओर गति करते पहिये की गति फिसलन गति (लोटनिक गति नहीं) होगी।
उत्तर :
(a) सत्य, क्योंकि घर्षण बल ही पिण्ड में स्थानान्तरीय गति उत्पन्न करता है और इसी बल के कारण पिण्ड का द्रव्यमान केन्द्र आगे की ओर बढ़ता है।
(b) सत्य, जब सम्पर्क बिन्दु की सप गति समाप्त हो जाती है तभी लोटनिक गति प्रारम्भ होती है; अतः परिशुद्ध लोटनिक गति में सम्पर्क बिन्दु की तात्क्षणिक चाल शून्य होती है।
(e) असत्य, चूँकि वस्तु घूर्णन गति कर रही है; अतः सम्पर्क बिन्दु की गति में अभिकेन्द्र त्वरण अवश्य ही विद्यमान रहता है।
(d) सत्य, परिशुद्ध लोटनिक गति में सम्पर्क बिन्दु पर कोई सरकन नहीं होता; अतः घर्षण बल के विरुद्ध किया गया कार्य शून्य होता है।
(e) सत्य, घर्षण के अभाव में, आनत तल पर छोड़े गए पहिये का आनत तल के साथ सम्पर्क बिन्दु विराम में नहीं रहेगा अपितु पहिया भार के अधीन आनत तल के अनुदिश फिसलता जाएगा। अतः यह गति विशुद्ध सरकन गति होगी, लोटनिक नहीं।
![]()
प्रश्न 33.
कणों के किसी निकाय की गति को इसके द्रव्यमान केन्द्र की गति और द्रव्यमान केन्द्र के परितः गति में अलग-अलग करके विचार करना। दर्शाइए कि –
(a) [latex]\overrightarrow { P } [/latex] = [latex]\overrightarrow { P } [/latex] I = mi [latex]\overrightarrow { V } [/latex]
जहाँ है [latex]\overrightarrow { P } [/latex] i (mi द्रव्यमान वाले) i-वे कण का संवेग है और [latex]\overrightarrow { P } [/latex] i = mi [latex]\overrightarrow { v’ } [/latex] i ध्यान दें कि [latex]\overrightarrow { v’ } [/latex] i, द्रव्यमान केन्द्र के सापेक्ष i – वे कण का वेग है।
द्रव्यमान केन्द्र की परिभाषा का उपयोग करके यह भी सिद्ध कीजिए कि ∑ [latex]\overrightarrow { P’ } [/latex] i = 0
(b) K = K’ +[latex]\frac { 1 }{ 2 } [/latex] MV2
K कणों के निकाय की कुल गतिज ऊर्जा, K’ = निकाय की कुल गतिज ऊर्जा जबकि कणों की गतिज ऊर्जा द्रव्यमान केन्द्र के सापेक्ष ली जाए। MV2/2 सम्पूर्ण निकाय के (अर्थात् निकाय के द्रव्यमान केन्द्र के) स्थानान्तरण की गतिज ऊर्जा है।
(c) [latex]\overrightarrow { L } [/latex] = [latex]\overrightarrow { L’ } [/latex] + [latex]\overrightarrow { R } [/latex] X M [latex]\overrightarrow { V } [/latex]
जहाँ L’ = ∑ [latex]\overrightarrow { L } [/latex] i x [latex]\overrightarrow { P’ } [/latex] i , द्रव्यमान के परितः निकाय का कोणीय संवेग है जिसकी गणना में वेग द्रव्यमान केन्द्र के सापेक्ष मापे गए हैं। याद कीजिए [latex]\overrightarrow { r } [/latex] i = [latex]\overrightarrow { r } [/latex] i – [latex]\overrightarrow { R } [/latex] शेष सभी चिह्न अध्याय में प्रयुक्त विभिन्न राशियों के मानक चिह्न हैं। ध्यान दें कि [latex]\overrightarrow { L’ } [/latex] द्रव्यमान केन्द्र के परितः निकाय का कोणीय संवेग एवं M [latex]\overrightarrow { R } [/latex] x [latex]\overrightarrow { V } [/latex] इसके द्रव्यमान केन्द्र का कोणीय संवेग है।

(जहाँ [latex]\xrightarrow { \tau \prime } [/latex] ext द्रव्यमान केन्द्र के परितः निकाय पर लगने वाले सभी बाह्य बल आघूर्ण हैं।)
[संकेत – दव्यमान केन्द की परिभाषा एवं न्यूटन के गति के तृतीय नियम का उपयोग कीजिए। यह मान लीजिए कि किन्ही दो कणों के बीच के आन्तरिक बल उनको मिलाने वाली रेखा के अनुदिश कार्य करते हैं।]






![]()
परीक्षोपयोगी प्रश्नोत्तर
बहुविकल्पीय प्रश्न
प्रश्न 1.
वह बिन्दु जहाँ पर किसी निकाय या पिण्ड का सम्पूर्ण द्रव्यमान केन्द्रित माना जा सकता है, कहलाता है।
(i) ज्यामितीय केन्द्र
(ii) मध्य बिन्दु
(iii) द्रव्यमान केन्द्र
(iv) गुरुत्व केन्द्र
उत्तर :
(iii) द्रव्यमान केन्द्र
प्रश्न 2.
द्रव्यमान m तथा त्रिज्या वाली किसी वृत्ताकार डिस्क का इसके व्यास के परितः जड़त्व आघूर्ण होता है।
(i) mr2
(ii) mr2 / 2
(iii) mr2 / 4
(iv) 3/4 mr2
उत्तर :
(iii) mr2 / 4
प्रश्न 3.
गोलीय कोश का जड़त्व आघूर्ण होगा
(i) MR2
(ii) MR2 / 2
(iii) 2/5 MR2
(iv) 2/3 MR2
उत्तर :
(iv) 2/3 MR2
प्रश्न 4.
किसी अक्ष के परितः कोणीय वेग से घूमते हुए किसी पिण्ड के जड़त्व आघूर्ण I तथा कोणीय संवेग J में सम्बन्ध है।
(i) J= Iω2
(ii) J= Iω
(iii) I = Jω
(iv) I = Jω2
उत्तर :
(ii) J= Iω
![]()
प्रश्न 5.
किसी पिण्ड के जड़त्व आघूर्ण तथा कोणीय त्वरण के गुणनफल को कहते हैं।
(i) कोणीय संवेग
(ii) बल-आघूर्ण
(iii) बल
(iv) कार्य
उत्तर :
(ii) बल-आघूर्ण
प्रश्न 6.
यदि एक वस्तु के कोणीय संवेग में 50% की कमी हो जाए तो उसकी घूर्णन गतिज ऊर्जा में परिवर्तन होगा
(i) 125% की वृद्धि
(ii) 100% की कमी
(iii) 75% की वृद्धि
(iv) 75% की कमी
उत्तर :
(iv) 75% की कमी।
प्रश्न 7.
किसी अक्ष के परितः कोणीय वेग से घूमते किसी पिण्ड के जड़त्व आघूर्ण कोणीय त्वरण तथा बल आघूर्ण क्रमशःI, α तथा τ हैं, तब
(i) τ = Iα
(ii) τ = Iω
(iii) I = τω
(iv) α = τ I
उत्तर :
(i) τ = Iα
अतिलघु उत्तरीय प्रश्न
प्रश्न 1.
दृढ पिण्ड से क्या तात्पर्य है।
उत्तर :
यदि किसी पिण्ड पर बाह्य बल लगाने पर उसके कणों में एक-दूसरे के सापेक्ष कोई विस्थापन न हो तो ऐसे पिण्ड को दृढ़ पिण्ड कहते हैं।
प्रश्न 2.
किसी निकाय के द्रव्यमान केन्द्र से आप क्या समझते हैं?
उत्तर :
किसी निकाय का द्रव्यमान केन्द्र वह बिन्दु है जो पिण्ड के साथ इस प्रकार गति करता है, जैसे पिण्ड का समस्त द्रव्यमान उसी बिन्दु पर केन्द्रित हो तथा पिण्ड पर कार्यरत् सभी बल भी उसी पर कार्य कर रहे हों।
प्रश्न 3.
समान द्रव्यमान के वो कणों के द्रव्यमान केन्द्र की स्थिति क्या होती है?
उत्तर :
समान द्रव्यमान के दो कणों का द्रव्यमान केन्द्र (CM) उनको मिलाने वाली रेखा के मध्य बिन्दु पर होता है। होता है।
![]()
प्रश्न 4.
यदि दो कणों के निकाय में एक कण दूसरे की अपेक्षा भारी है तो इसका द्रव्यमान केन्द्र किस कण के निकट होगा?
उत्तर :
भारी कण के निकट।
प्रश्न 5.
समान द्रव्यमान के दो कणों के निकाय के द्रव्यमान केन्द्र को स्थिति सदिश क्या होगा?
उत्तर :
दोनों कणों के स्थिति सदिशों का औसत
अर्थात् [latex]\xrightarrow { r } [/latex] = ([latex]\xrightarrow { r1 } [/latex] + [latex]\xrightarrow { r2 } [/latex]) / 2
प्रश्न 6.
2.0 किग्रा तथा 1.0 किग्रा के दो पिण्ड क्रमशः (0, 0) मी तथा (3,0) मी पर स्थित हैं। इस निकाय के द्रव्यमान केन्द्र की स्थिति ज्ञात कीजिए।

प्रश्न 7.
यदि m द्रव्यमान वाले कण का स्थिति सदिश [latex]\xrightarrow { r1 } [/latex] तथा 2m द्रव्यमान वाले कण का स्थिति सदिश [latex]\xrightarrow { r2 } [/latex] हो, तो उस निकाय के द्रव्यमान केन्द्र का स्थिति सदिश क्या होगा?

प्रश्न 8.
रेखीय त्वरण तथा कोणीय त्वरण में सम्बन्ध का सूत्र लिखिए।
उत्तर :
a = rα
प्रश्न 9.
बल-आघूर्ण की परिभाषा दीजिए तथा इसका मात्रक लिखिए।
उत्तर :
जब किसी पिण्ड पर लगा हुआ कोई बाह्य बल, उस पिण्ड को किसी अक्ष के (UPBoardSolutions.com) परितः घुमाने की प्रवृत्ति रखता है, तो इस प्रवृत्ति को बल-आघूर्ण कहते हैं। इसका S.I. मात्रक न्यूटन-मीटर होता है।
प्रश्न 10.
किसी कण को बल में एक बिन्दु की ओर आरोपित किया जाता है। उस बिन्दु के परितः बल का आधूर्ण क्या होगा तथा क्यों?
उत्तर :
शून्य (क्योंकि बिन्दु से बेल की क्रिया की लम्बवत् दूरी शून्य होगी)।
![]()
प्रश्न 11.
किसी वस्तु का जड़त्व आघूर्ण किस बिन्द कण के लिए शून्य होता है?
उत्तर :
घूर्णन अक्ष पर स्थित बिन्दु कण के लिए।
प्रश्न 12.
किसी पिण्ड को जड़त्वं आघूर्ण किस अक्ष के परितः न्यूनतम होता है?
उत्तर :
उसके द्रव्यमान केन्द्र से गुजरने वाली अक्ष के परितः न्यूनतम होता है।
प्रश्न 13.
बल आघूर्ण, जड़त्व आघूर्ण तथा कोणीय त्वरण के बीच सम्बन्ध का सूत्र लिखिए।
या
घूर्णन गति हेतु बल आघूर्ण तथा जड़त्व आघूर्ण में सम्बन्ध लिखिए।
उत्तर :
τ = Ia
प्रश्न 14.
विभिन्न धातुओं से बने समान द्रव्यमान तथा समान त्रिज्या के दो गोलों में से एक ठोस तथा दूसरा खोखला है। यदि इन्हें एक साथ नत तल पर लुढ़काया जाता है तो कौन-सा गोला पहले नीचे पहुँचेगा? कारण सहित उत्तर दीजिए।
उत्तर :
ठोस गोला पहले नीचे पहुँचेगा, क्योकि खोखले गोले की अपेक्षा ठोस गोले का जड़त्व आघूर्ण कम होगा। अत: ठोस गोले की घूर्णन गति में खोखले गोले की अपेक्षा कम विरोध उत्पन्न होगा।
प्रश्न 15.
किसी छड़ का उसके एक सिरे से गुजरने वाली लम्बवत् अक्ष के परितः जड़त्व आघूर्ण ज्ञात करने के लिए जड़त्व आघूर्ण का कौन-सा प्रमेय प्रयोग में लाया जाता है, जबकि इसका जड़त्व आघूर्ण इसके द्रव्यमान केन्द्र से गुजरने वाली ऊर्ध्वाधर अक्ष के परितः दिया हो?
उत्तर :
समान्तर अक्षों की प्रमेय।
प्रश्न 16.
एक ठोस बेलन की त्रिज्या R, द्रव्यमान M तथा लम्बाई है। इसका अपनी अक्ष के परितः जड़त्व आघूर्ण का सूत्र क्या होगा? यदि बेलन खोखला हो तब सूत्र क्या होगा?
उत्तर :
I = [latex]\frac { 1 }{ 2 }[/latex] MR2 ; I = MR2
प्रश्न 17.
एक ठोस गोले का द्रव्यमान M तथा त्रिज्या R है। इसके व्यास के परितः जड़त्व आघूर्ण का सूत्र लिखिए। यदि इसी द्रव्यमान तथा त्रिज्या का खोखला गोला हो तब सूत्र क्या होगा?
उत्तर :
I = [latex]\frac { 2 }{ 5 }[/latex] MR2.
प्रश्न 18.
एक पतली छड़ का द्रव्यमान M तथा इसकी लम्बाई L है। इसके एक सिरे से गुजरने वाली लम्बवत् अक्ष के परितः छड़ को जड़त्व आघूर्ण क्या होगा?
उत्तर :
जड़त्व आघूर्ण I = ML2 /12
![]()
प्रश्न 19.
धूर्णन गति में किए गए कार्य के लिए सूत्र लिखिए।
उत्तर :
घूर्णन गति में किया गया कार्य घूर्णन गतिज ऊर्जा के बराबर होता है।
अतः कार्य w = [latex]\frac { 1 }{ 2 } [/latex] Iω2 जहाँ I = जड़त्व आघूर्ण तथा ω = कोणीय वेग
प्रश्न 20.
घूर्णन गति के तीनों समीकरणों को लिखिए तथा प्रयुक्त संकेतों के अर्थ बताइए।
उत्तर :
घूर्णन गति के समीकरण हैं –

प्रश्न 21.
किसी पिण्ड की घूर्णन गतिज ऊर्जा के लिए व्यंजक लिखिए। क्या यह घूर्णन अक्ष पर निर्भर करता है?
उत्तर :
Krot = [latex]\frac { 1 }{ 2 } [/latex] Iω2 हाँ।
प्रश्न 22.
22.2[latex]\sqrt { 2 } [/latex] मीटर त्रिज्या की एक चकती अपनी अक्ष के परितः घूर्णन कर रही है। उसकी घूर्णन (परिभ्रमण) त्रिज्या की गणना कीजिए।

लघु उत्तरीय प्रश्न
प्रश्न 1.
विलगित निकाय से क्या तात्पर्य है?
उत्तर :
विलगित निकाय (Isolated system) – विलगित निकाय वह होता है जिस पर कार्यरत् समस्त बाह्य बलों का सदिश योग शून्य हो।
![]()
इस प्रकार, जब किसी निकाय पर लगने वाले सभी बाह्य बलों का सदिश योग शून्य होता है, तो द्रव्यमान केन्द्र का वेग नियत रहता है। रेडियोऐक्टिव क्षय में विभिन्न कण भिन्न-भिन्न वेगों से भिन्न-भिन्न दिशाओं में पलायन करते हैं, परन्तु उनके द्रव्यमान-केन्द्र का वेग नियत रहता है।
प्रश्न 2.
1 ग्राम, 2 ग्राम तथा 3 ग्राम के तीन बिन्दु द्रव्यमान XY- तल में क्रमशः (1,2), (0, -1) तथा (2,-3) बिन्दुओं पर स्थित हैं। निकाय के द्रव्यमान केन्द्र की स्थिति ज्ञात कीजिए।


![]()
प्रश्न 3.
कोणीय संवेग की परिभाषा दीजिए तथा दिखाइए कि किसी पिण्ड के कोणीय संवेग के परिवर्तन की दर उस पिण्ड पर लगाए गए बल-आघूर्ण के बराबर होती है।
उत्तर :
कोणीय संवेग की परिभाषा – घूर्णन गति में पिण्ड के विभिन्न अवयवी कणों के रेखीय (UPBoardSolutions.com) संवेगों के घूर्णन-अक्ष के परितः आघूर्गों का योग उस अक्ष के परितः पिण्ड का कोणीय संवेग कहलाता है। यह निम्नलिखित सूत्र से व्यक्त किया जाता है –

प्रश्न 4.
कोणीय संवेग संरक्षण का नियम लिखिए।
हल : इस नियम के अनुसार, यदि किसी घूर्णन के परित: घूमते हुए पिण्ड पर बाह्य बल आघूर्ण न लगाया जाए, तो उस पिण्ड का कोणीय संवेग नियत रहता है।
अर्थात् J = Iω = नियतांक
प्रश्न 5.
बल-युग्म से क्या तात्पर्य है? बल-युग्म के आघूर्ण का सूत्र लिखिए।
उत्तर :
बल-युग्म – जब किसी दृढ़ पिण्ड पर कोई ऐसे दो बल जो परिमाण में समान, दिशा में विपरीत व जिनकी क्रिया रेखाएँ भिन्न-भिन्न हों, साथ-साथ लगाये जाते हैं तो यह पिण्ड में बिना स्थानान्तरण के 40 घूर्णन उत्पन्न कर देते हैं (चित्र 7.22)। ऐसे बलों के युग्म को बल-युग्म कहते हैं।
बल-युग्म का आघूर्ण – बल-युग्म के बल के परिमाण वे उसकी भुजा की लम्बाई के गुणनफल को बल-युग्म को आघूर्ण कहते हैं। माना F परिमाण के दो बल एक दृढ़ छड़ AB जो बिन्दु O के परितः घूमने को स्वतन्त्र है, पर लगे हैं (चित्र 7.22)। तब छड़ AB पर कार्यरत् बल-युग्म का आघूर्ण,
τ = बिन्दु A पर कार्यरत् बल F का आधूर्ण + बिन्दु B पर कार्यरत् बल F का आघूर्ण
= F × AO + F × OB
= F × (AO + OB) = F × AB
परन्तु AB = l,
∴ τ = F × l
प्रश्न 6.
एक पिण्ड जिसका जड़त्व आघूर्ण 3 किग्रा-मी2 है, विरामावस्था में है। इसे 6 न्यूटन-मीटर के बल आघूर्ण द्वारा 20 सेकण्ड तक घुमाया जाता है। पिण्ड का कोणीय विस्थापन ज्ञात कीजिए। पिण्ड पर किये गये कार्य की गणना भी कीजिए।

प्रश्न 7.
किसी छड़ की लम्बाई के लम्बवत् द्रव्यमान केन्द्र से गुजरने वाली अक्ष के परितः जड़त्व आघूर्ण 2.0 ग्राम-सेमी2 है। इस छड़ की लम्बाई के लम्बवत छड़ के सिरे से गुजरने वाली अक्ष के परितः जड़त्व आघूर्ण कितना होगा?

प्रश्न 8.
वृत्ताकार छल्ले का व्यास के परितः जड़त्व आघूर्ण 4.0 ग्राम-सेमी है। छल्ले के केन्द्र से गुजरने वाली तथा तल के लम्बवत अक्ष के परितः जड़त्व आघूर्ण ज्ञात कीजिए।

प्रश्न 9.
m1 तथा m2 द्रव्यमान के दो कण l लम्बाई की भारहीन छड़ के सिरों पर रखे हैं। सिद्ध कीजिए कि छड़ के लम्बवत द्रव्यमान केन्द्र से गुजरने वाली अक्ष के परितः निकाय का जड़त्व आघूर्ण I = m1 m2/(m1 + m2) है।

![]()
प्रश्न 10.
कोणीय संवेग और घूर्णन गतिज ऊर्जा में सम्बन्ध स्थापित कीजिए।
उत्तर :
कोणीय संवेग और घूर्णन गतिज ऊर्जा में सम्बन्ध – यदि किसी घूर्णन अक्ष के परित: किसी पिण्ड का जड़त्व आघूर्ण I तथा कोणीय वेग ω हो तो उस पिण्ड को उसी घूर्णन अक्ष के परित: कोणीय संवेग


यही कोणीय संवेग और घूर्णन गतिज ऊर्जा में अभीष्ट सम्बन्ध है।
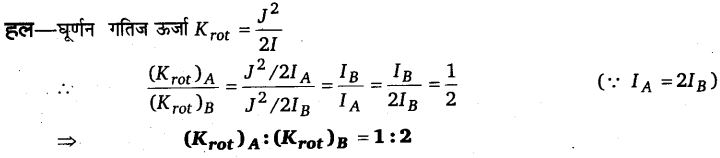
प्रश्न 11.
घूर्णन करते हुए दो पिण्डों A तथा B के कोणीय संवेग के मान बराबर हैं। A का जड़त्व आघूर्ण B के जड़त्व आघूर्ण का दोगुना है। Aतथा B की घूर्णन गतिज ऊर्जाओं का अनुपात निकालिए।

प्रश्न 12.
क्षैतिज समतल पर लुढ़कती हुई गेंद की घूर्णन गतिज ऊर्जा उसकी सम्पूर्ण गतिज ऊर्जा का कौन-सा भाग होगी?

प्रश्न 13.
10 किग्रा द्रव्यमान एवं 0.2 मीटर त्रिज्या की एक रिंग अपनी ज्यामितीय अक्ष के परितः 35 चक्कर/सेकण्ड की दर से घूम रही है। उसके जड़त्व आघूर्ण एवं घूर्णन गतिज ऊर्जा की गणना कीजिए।

प्रश्न 14.
5 किग्रा द्रव्यमान एवं 0.4 मी व्यास की एक रिंग अपनी ज्यामितीय अक्ष के परितः 840 चक्कर/मिनट की दर से घूम रही है। इसके कोणीय संवेग एवं घूर्णन गतिज ऊर्जा का परिकलन कीजिए।

प्रश्न 15.
15 किग्रा द्रव्यमान एवं 0.5 मीटर त्रिज्या की रिंग अपनी ज्यामितीय अक्ष के परितः 35 चक्कर/सेकण्ड की दर से घूम रही है। इसकी घूर्णन गतिज ऊर्जा की गणना कीजिए।

![]()
विस्तृत उत्तरीय प्रश्न
प्रश्न 1.
एकसमान छड़ के द्रव्यमान केन्द्र के लिए व्यंजक प्राप्त कीजिए।
उत्तर :
एकसमान छड़ का द्रव्यमान (अथवा संहति) केन्द्र – माना l लम्बाई की कोई समांग छड़ AB (चित्र 7.24) जिसका कुल द्रव्यमान m इसकी पूरी लम्बाई । पर एकसमान रूप से वितरित है। यह छड़ इस प्रकार से रखी है कि इसकी लम्बाई AB X-अक्ष के अनुदिश तथा उसका सिरा A समकोणिक निर्देशाक्षों XY के मूल-बिन्दु 0 पर स्थित है। अब चूंकि एक सर्वत्रसम छड़ ऐसे बिन्दु द्रव्यमानों (point masses) के समुच्चय का (UPBoardSolutions.com) निकाय होती है जो सतत् रूप से किसी रेखा के अनुदिश वितरित होते हैं। अतः ऐसे निकाय के द्रव्यमान-केन्द्र की स्थिति का निर्धारण समाकलन विधि द्वारा सर्वाधिक सुगमता से किया जा सकता है।
यहाँ यह मान लिया गया है कि छड़ की अनुप्रस्थ विमाएँ यथा चौड़ाई (आयताकारछड़ की दशा में) या व्यास (बेलनाकार छड़ की दशा में) अनुदैर्ध्य विमाओं (यथा लम्बाई या ऊँचाई) की तुलना में नगण्य है।
छड़ के एक छोटे से खण्ड CD जिसकी लम्बाई dx (जहाँ dx → 0) है तथा जो मूल-बिन्दु O से X दूरी पर स्थित है (चित्र 7.24) पर विचार कीजिए।


अर्थात् सर्वत्रसम छड़ का द्रव्यमाने-केन्द्र उसके मध्य-बिन्दु अर्थात् ज्यामितीय-केन्द्र पर स्थित होगा। सममिति का यही तर्क, समांग वलयों, चकतियो, गोलों और यहाँ तक कि वृत्ताकार या आयताकार अनुप्रस्थ काटे वाली मोटी छड़ों के लिए भी लागू होता है अर्थात् इनके ज्यामितीय-केन्द्र ही इनके द्रव्यमान-केन्द्र भी होते हैं।
प्रश्न 2.
किसी पिण्ड के कोणीय संवेग तथा जड़त्व आघूर्ण के बीच सम्बन्ध स्थापित कीजिए। इसके आधार पर जड़त्व आघूर्ण की परिभाषा दीजिए।
उतर :
कोणीय संवेग तथा जड़त्व आघूर्ण में सम्बन्ध – रेखीय गति में पिण्ड के द्रव्यमान m तथा उसके रेखीय वेग υ का गुणनफल पिण्ड का रेखीय संवेग कहलाता है। इसको p से प्रदर्शित करते हैं। अतः p = m × υ घूर्णन गति में पिण्ड के विभिन्न अवयवी कणों के रेखीय संवेगों के घूर्णन-अक्ष के परितः आघूर्णो का योग उस अक्ष के परितः पिण्ड का कोणीय संवेग कहलाता है। इसको Jसे प्रदर्शित करते हैं।


अत: “किसी पिण्ड के जड़त्व-आघूर्ण का मान घूर्णन-अक्ष के परितः पिण्ड के कोणीय संवेग के परिमाण के बराबर होता है, जबकि पिण्ड एक रेडियन/सेकण्ड के कोणीय वेग से घूर्णन गति कर रहा है।”
प्रश्न 3.
जड़त्व-आघूर्ण सम्बन्धी समकोणिक अक्षों के प्रमेय का उल्लेख कीजिए तथा उसको सिद्ध कीजिए।
उत्तर :
जड़त्व-आघूर्ण सम्बन्धी समकोणिक अक्षों की प्रमेय कथन-किसी समतल पंटल का उसके तल में ली गई दो परस्पर लम्बवत् अक्षों ox OY के परितः जड़त्व-आघूर्णो का योग, इन अक्षों के कटान-बिन्दु O में को जाने वाली तथा पटल के तल के लम्बवत् अक्ष Oz के परितः जड़त्व-अधूर्ण के बराबर होता है। अतः पटल का’ अक्ष Oz के परितः जड़त्व-आघूर्ण


![]()
प्रश्न 4.
घूर्णन गति में बल-आधूर्ण एवं जड़त्व-आघूर्ण में सम्बन्ध स्थापित कीजिए तथा इस आधार पर जड़त्व-आघूर्ण की परिभाषा दीजिए।
उत्तर :
माना कोई पिण्ड किसी घूर्णन-अक्ष के परितः अचर कोणीय त्वरण α (UPBoardSolutions.com)से घूर्णन गति कर रहा है। पिण्ड के सभी कणों का कोणीय त्वरण α ही होगा परन्तु रेखीय त्वरण अलग-अलग होंगे। माना कि पिण्ड के एक कण का द्रव्यमान m1 है तथा इसकी घूर्णन-अक्ष से दूरी r1 है। तब

अत: किसी वस्तु का किसी दी हुई अक्ष के सापेक्ष जड़त्व-आघूर्ण उस बल-आघूर्ण के बराबर होता है। जो वस्तु में एकांक कोणीय त्वरण उत्पन्न कर दे।
प्रश्न 5.
घूर्णन गतिज ऊर्जा के लिए व्यंजक का निगमन कीजिए।
उत्तर :
घूर्णन गतिज ऊर्जा – माना कोई पिण्ड किसी अक्ष के परित: एकसमान कोणीय वेग ω से घूर्णन गति कर रहा है। इस पिण्ड के सभी अवयवी कणों का कोणीय वेग ω ही होगा जबकि उनके रेखीय वेग भिन्न-भिन्न होंगे। माना घूर्णन अक्ष से r1, r2, r3…. दूरियों (UPBoardSolutions.com) पर स्थित पिण्ड के अवयवी कणों के द्रव्यमान क्रमशः m1, m2, m3…. तथा इनके रेखीय वेग क्रमश: v1, v2, v3…. हैं।

We hope the UP Board Solutions for Class 11 Physics Chapter 7 System of particles and Rotational Motion (कणों के निकाय तथा घूर्णी गति) help you. If you have any query regarding UP Board Solutions for Class 11 Physics Chapter 7 System of particles and Rotational Motion (कणों के निकाय तथा घूर्णी गति) drop a comment below and we will get back to you at the earliest.