UP Board Solutions for Class 8 Maths Chapter 1 परिमेय संख्याओं पर संक्रियाएँ
These Solutions are part of UP Board Solutions for Class 8 Maths. Here we have given UP Board Solutions for Class 8 Maths Chapter 1 परिमेय संख्याओं पर संक्रियाएँ.
Multiplying and Dividing Rational Expressions Calculator solved by our expert teachers.
Step-by-step explanation: Writing 1/8 as a decimal using the division method.
परिमेय संख्याओं पर संक्रियाएँ
अभ्यास 1(a)
प्रश्न 1.
सरल कीजिए
उत्तर

![]()
प्रश्न 2.
संख्या-रेखा की सहायता से सरल कीजिए :
उत्तर


![]()
3/5 as a decimal is 0.6
प्रश्न 3.
हर का ल०स० लेकर सरल कीजिए :
उत्तर

प्रश्न 4.
मान ज्ञात कीजिए :
उत्तर

अभ्यास 1 (b)
1 decimal equals to 535.6 sq. feet or 405057 m2. … It is approximately equal to 1/100 acre.
प्रश्न 1.
निम्नांकित कथनों में सत्य/असत्य बताइए।
उत्तर

प्रश्न 2.
निम्नांकित परिमेय संख्याओं को जोड़कर बताइए कि योगफल परिमेय संख्या है अथवा नहीं:
![]()
उत्तर

![]()
प्रश्न 3.
दोनों पक्षों को हल करके सत्यापित कीजिए।
उत्तर


![]()
![]()
प्रश्न 4.
यदि A और B दो परिमेय संख्याएँ हों और A+B= [latex]\frac { -15 }{ 11 } [/latex] हो, तो B + A का मान ज्ञात कीजिए।
उत्तर

प्रश्न 5.
निम्नांकित रिक्त स्थानों की पूर्ति कीजिए (पूर्ति करके) –
उत्तर

प्रश्न 6.
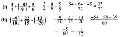
सरल कीजिए
उत्तर

![]()
Factors of 24 are 1, 2, 3, 4, 6, 8, 12, and 24.
प्रश्न 7.
निम्नांकित को योग की संक्रिया के प्रगुणों का प्रयोग करके हल कीजिए :
उत्तर

अभ्यास 1 (c)
प्रश्न 1.
हल कीजिए :
उत्तर


प्रश्न 2.
निम्नांकितं को संख्या रेखा की सहायता से सरल करके परिमेय संख्या ज्ञात कीजिए :
उत्तर


![]()
प्रश्न 3.
इन्हें अभ्यास पुस्तिका में लिखकर रिक्त स्थानों की पूर्ति कीजिए (पूर्ति करके)
उत्तर

प्रश्न 4.
(i) [latex]\frac { 6 }{ 7 } [/latex] में कौन-सी संख्या जोड़े कि योग [latex]\left( \frac { -2 }{ 9 } \right) [/latex] हो जाए?
उत्तर

(ii) [latex]\left( \frac { -7 }{ 12 } \right) [/latex] में कितना जोड़े कि योगफल [latex]\frac { 25 }{ 36 }[/latex] हो जाए?
उत्तर

प्रश्न 5.
दो परिमेय संख्याओं का योगफल -5 है। इनमें से एक संख्या [latex]\left( \frac { -16 }{ 7 } \right) [/latex] है, तो दूसरी संख्या ज्ञात कीजिए।
उत्तर

![]()
प्रश्न 6.
सरल कीजिए :
उत्तर

प्रश्न 7.
निम्नांकित में से कौन से कथन सत्य हैं? (सत्य बताकर) –
उत्तर

अभ्यास 1 (d)
प्रश्न 1.
हेल कीजिए :
उत्तर

प्रश्न 2.
गुणा कीजिए :

उत्तर

अभ्यास 1 (e)
प्रश्न 1.
निम्नांकित कथनों में से सत्य कथन चुनिए (सत्य कथन चुनकर) –
उत्तर

![]()
प्रश्न 2.
निम्नांकित कथनों को गुणा की क्रिया करके सत्यापित कीजिए
उत्तर


प्रश्न 3.
निम्नांकित में रिक्त स्थानों की पूर्ति अपनी अभ्यास पुस्तिका में कीजिए और प्रत्येक कथन के आगे संबंधित प्रगुण का नाम भी लिखिए (रिक्त स्थानों की पूर्ति एवं प्रगुण का नाम लिखकर) –
उत्तर

![]()
प्रश्न 4.
सरल कीजिए :
उत्तर

अभ्यास 1 (f)
प्रश्न 1.
निम्नांकित कथनों के सम्मुख सत्य या असत्य जो सही हो लिखिएः (सत्य-असत्य अंकित करके) –
उत्तर

प्रश्न 2.
निम्नांकित को अपनी अभ्यास पुस्तिका पर उतार कर रिक्त स्थानों की पूर्ति कीजिए (पूर्ति करके)-
उत्तर

![]()
प्रश्न 3.
प्रत्येक स्थिति में x का मान बताइएः
उत्तर


प्रश्न 4.
निम्नांकित परिमेय संख्याओं के योगात्मक प्रतिलोम बताइए :
उत्तर

प्रश्न 5.
निम्नांकित परिमेय संख्याओं के गुणात्मक प्रतिलोम ज्ञात कीजिए।
उत्तर

![]()
प्रश्न 6.
सरल कीजिए : [latex](-32)\times (\frac { 5 }{ -14 } )\times (\frac { 3 }{ -20 } )\times 0\times (\frac { -13 }{ 5 } )[/latex]
उत्तर

अभ्यास 1 (g)
प्रश्न 1.
निम्नांकित युग्मों में से प्रथम संख्या में दूसरी संख्या से भाग दीजिए।

उत्तर

![]()
प्रश्न 2.
भाग की क्रिया करके बताइए कि निम्नांकित कथन सत्य हैं या असत्य (बताकर) :
उत्तर


![]()
![]()
प्रश्न 3.
रल कीजिए :
उत्तर

प्रश्न 4.
दो परिमेय संख्याओं का गुणनफल [latex]\left( \frac { -6 }{ 7 } \right) [/latex] है, यदि इनमें से एक संख्या [latex]\left( \frac { -8 }{ 5 } \right) [/latex] है, तो दूसरी संख्या ज्ञात कीजिए।
उत्तर

प्रश्न 5.
दो परिमेय संख्याओं का गुणनफल [latex]\left( \frac { -5 }{ 6 } \right) [/latex] है, यदि इनमें से एक संख्या [latex]\left( \frac { -7 }{ 12 } \right) [/latex] है, तो दूसरी संख्या ज्ञात कीजिए।
उत्तर

प्रश्न 6.
[latex]\left( \frac { -4 }{ 9 } \right) [/latex]को किस संख्या से गुणा करें कि गुणनफल (-1) प्राप्त हो
उत्तर

प्रश्न 7.
[latex]\frac { 8 }{ 9 } [/latex] को किस संख्या से गुणा करें कि गुणनफल [latex]\left( \frac { -16 }{ 28 } \right) [/latex] प्राप्त हो
उत्तर

दक्षता अभ्यास -1(A)
प्रश्न 1.
निम्नांकित को सरल करके परिमेय संख्या ज्ञात कीजिए :
उत्तर

प्रश्न 2.
[latex]\left( \frac { -12 }{ 7 } \right) [/latex] और [latex]\frac { 13 }{ 5 } [/latex] के योगफल को उनके अंतर से गुणो कीजिए।
उत्तर

![]()
प्रश्न 3.
[latex]\left( \frac { 1 }{ -2 } \right) [/latex] और [latex]\left( \frac { -3 }{ 7 } \right) [/latex] के योगफल को उनके गुणनफल से भाग दीजिए।
उत्तर

प्रश्न 4.
अपनी अभ्यास पुस्तिका में निम्नांकित कथनों के आगे सत्य/असत्य अंकित कीजिए-
उत्तर

अभ्यास 1 (h)
प्रश्न 1.
निम्नांकित परिमेय संख्याओं के निरपेक्ष मान ज्ञात कीजिए :
उत्तर

![]()
प्रश्न 2.
सरल कीजिए :
उत्तर

• उत्तर को सही विकल्प अपनी अभ्यास पुस्तिका में लिखिए :
प्रश्न 3.
यदि x =[latex]-\frac { 1 }{ 2 } [/latex] और y = [latex]\frac { 3 }{ 4 } [/latex], तो [latex]\left| x \right| +\left| y \right| [/latex] का मान है :
![]()
उत्तर
![]()
प्रश्न 4.
[latex]\left| -\left( \frac { 3 }{ -7 } \right) \right| [/latex] का मान है :
उत्तर
![]()
![]()
प्रश्न 5.
यदि x = [latex]\frac { -5 }{ 7 } [/latex] और y = [latex]\frac { 3 }{ 4 } [/latex] तो [latex]\left| x \right| +\left| y \right| [/latex] का मान है :
![]()
उत्तर
![]()
प्रश्न 6.
परिमेय संख्याओं [latex]\frac { -5 }{ 7 } [/latex] और [latex]\frac { -5 }{ -7 } [/latex] का निरपेक्ष मान है :
![]()
उत्तर
![]()
प्रश्न 7.
अपनी अभ्यास पुस्तिका में उतारकर प्रत्येक वर्ग में उपयुक्त चिह्न >, =, < लगाइए :
उत्तर

प्रश्न 8.
यदि x= [latex]\frac { 5 }{ 9 } [/latex], y= [latex]\frac { 2 }{ 3 } [/latex] तो दिखाइए कि :
उत्तर

![]()
प्रश्न 9.
यदि x=[latex]\frac { 15 }{ 13 } [/latex], y=[latex]\frac { -2 }{ 11 } [/latex] तो दिखाइए कि :
![]()
उत्तर


प्रश्न 10.
ऐसी दो परिमेय संख्याओं को ज्ञात कीजिए जिनका निरपेक्ष मान [latex]\frac { 1 }{ 2 } [/latex] है।
उत्तर
![]()
अभ्यास 1 (i)
अपनी अभ्यास पुस्तिका में प्रश्न 1 और 2 में सही विकल्प चुनिएः
प्रश्न 1.
-1 और -3 के ठीक बीच की परिमेय संख्या है :
उत्तर
![]()
![]()
प्रश्न 2.
-3 और 4 के ठीक बीच स्थित परिमेय संख्या है :
![]()
उत्तर
![]()
प्रश्न 3.
-1 और 1 के बीच की परिमेय संख्या ज्ञात कीजिए।
उत्तर
![]()
प्रश्न 4.
[latex]\frac { 1 }{ 3 } [/latex] और [latex]\frac { 1 }{ 2 } [/latex] के बीच की परिमेय संख्या ज्ञात कीजिए।
उत्तर
![]()
![]()
प्रश्न 5.
[latex]\frac { -7 }{ 8 } [/latex] और [latex]\frac { 7 }{ 8 } [/latex] के ठीक बीच की परिमेय संख्या ज्ञात कीजिए।
उत्तर
![]()
प्रश्न 6.
[latex]-\frac { 3 }{ 5 } [/latex] और [latex]\frac { 8 }{ 3 } [/latex] के ठीक बीच की परिमेय संख्या ज्ञात कीजिए।
उत्तर

प्रश्न 7.
[latex]-\frac { 5 }{ 4 } [/latex] और [latex]-\frac { 1 }{ 6 } [/latex] के ठीक बीच की परिमेय संख्या ज्ञात कीजिए।
उत्तर

![]()
प्रश्न 8.
[latex]1\frac { 3 }{ 4 } [/latex] और [latex]4\frac { 3 }{ 8 } [/latex] के ठीक बीच की परिमेय संख्या ज्ञात कीजिए।
उत्तर

प्रश्न 9.
[latex]-1\frac { 2 }{ 7 } [/latex] और [latex]\frac { 9 }{ 2 } [/latex] के ठीक बीच की परिमेय संख्या ज्ञात कीजिए।
उत्तर

![]()
प्रश्न 10.
[latex]\frac { 1 }{ 2 } \left( \frac { -2 }{ 3 } +\frac { 1 }{ 4 } \right) [/latex] को परिमेय संख्या [latex]\frac { p }{ q } [/latex] के रूप में व्यक्त कीजिए और दिखाइए कि यह परिमेय संख्या [latex]\frac { -2 }{ 3 } [/latex] और [latex]\frac { 1 }{ 4 } [/latex] के बीच स्थित है।
उत्तर

अभ्यास 1 (j)
प्रश्न 1.
निम्नांकित परिमेय संख्याओं को दशमलव रूप में व्यक्त कीजिए :
[latex]\frac { 11 }{ 3 } [/latex], [latex]\frac { 17 }{ 5 } [/latex], [latex]\frac { 19 }{ 6 } [/latex], [latex]\frac { 3 }{ 8 } [/latex]
उत्तर


![]()
प्रश्न 2.
निम्नांकित संख्याओं को दशमलव रूप में बदलिएः
उत्तर

प्रश्न 3.
निम्नांकित परिमेय संख्याओं में से कौन-कौन सी संख्याओं को सांत दशमलव में निरूपित किया जा सकता है?
[latex]\frac { 1 }{ 4 } [/latex] ,[latex]\frac { 11 }{ 8 } [/latex] ,[latex]\frac { -27 }{ 4 } [/latex] ,[latex]\frac { -33 }{ 10 } [/latex] ,[latex]\frac { 2 }{ 7 } [/latex] ,[latex]\frac { 6 }{ 15 } [/latex]
उत्तर
सांत दशमलव में व्यक्त होने वाली परिमेय संख्याओं के हरों के अभाज्य गुणनफल केवल 2 या 5 (या दोनों) होते हैं तथा अन्य सभी अभाज्य गुणनखंड वाले असांत आवर्ती दशमलव होते हैं।

प्रश्न 4.
[latex]\frac { 1 }{ 2 } +\frac { 1 }{ 3 } +\frac { 1 }{ 5 } [/latex] के योगफल को यदि दशमलव में बदलें तो यह सांत होगा अथवा असांत?
उत्तर

![]()
प्रश्न 5.
निम्नांकित परिमेय संख्याओं में से किस-किस का सांत दशमलव संख्या में निरूपण नहीं हो सकता?
[latex]\frac { 24 }{ 7 } [/latex] ,[latex]\frac { 5 }{ 6 } [/latex] ,[latex]\frac { 7 }{ 15 } [/latex] ,[latex]\frac { 3 }{ 7 } [/latex] ,[latex]5\frac { 3 }{ 4 } [/latex]
उत्तर
![]()


प्रश्न 6.
अपनी अभ्यास पुस्तिका में निम्नांकित कथना के सम्मुख सत्य के लिए (✓) और असत्य के लिए (✗) के चिह्न लगाइए (लगाकर)
उत्तर

अभ्यास 1 (k)
प्रश्न 1.
निम्नांकित दशमलव संख्याओं को परिमेय संख्या है के रूप में व्यक्त कीजिए।
0.35, 0.750, 2.15, 7.010, 10.10, 0.015, 1.05, 2.25
उत्तर

प्रश्न 2.
निम्नांकित दशमलव संख्याओं भिन्नों को परिमेय संख्या है के रूप में व्यक्त कीजिएः
2.25, 10.5, 8.625, 16.375
उत्तर

दक्षता अभ्यास -1 (B)
प्रश्न 1.
यदि x=[latex]-\frac { 3 }{ 5 } [/latex], y=[latex]-\frac { 4 }{ 7 } [/latex] तो दिखाइए कि –
![]()
उत्तर


प्रश्न 2.
उन सभी परिमेय संख्याओं को ज्ञात कीजिए जिनका निरपेक्ष मान ई है।
उत्तर
[latex]\frac { 5 }{ 6 } [/latex] ,[latex]-\frac { 5 }{ 6 } [/latex] का निरपेक्ष मान[latex]\frac { 5 }{ 6 } [/latex] है
![]()
प्रश्न 3.
उस परिमेय संख्या को ज्ञात कीजिए जिनका निरपेक्ष मान शून्य है।
उत्तर
0 का निरपेक्ष मान शून्य है।
प्रश्न 4.
निम्नांकित में से कौन-कौन सी. ऐसी परिमेय संख्याएँ हैं, जिन्हें सांत दशमलव में व्यक्त किया जा सकता है?
उत्तर

प्रश्न 5.
निम्नांकित में किन-किन परिमेय संख्याओं को असांत आवर्ती दशमलव मैं निरूपित किया जा सकता है
![]()
उत्तर

![]()
प्रश्न 6.
निम्नांकित परिमेय संख्याओं को सांत या असांत दशमलव संख्या में व्यक्त कीजिए –
उत्तर

प्रश्न 7.
निम्नांकित परिमेय संख्याओं को भिन्न में बदलिए –
(i) 0.015 (ii) 0.84 (ii) 12.625
उत्तर

We hope the UP Board Solutions for Class 8 Maths Chapter 1 परिमेय संख्याओं पर संक्रियाएँ help you. If you have any query regarding UP Board Solutions for Class 8 Maths Chapter 1 परिमेय संख्याओं पर संक्रियाएँ, drop a comment below and we will get back to you at the earliest.