Balaji Class 9 Maths Solutions Chapter 3 Rationalisation Ex 3.2 परिमेयीकरण
Ex 3.2 Rationalisation अतिलघु उत्तरीय प्रश्न (Very Short Answer Type Questions)
निम्न के मान ज्ञात कीजिए- (प्रश्न 1 – 6)
प्रश्न 1.
[latex]\frac{1}{\sqrt{4}-\sqrt{3}}[/latex]
हलः

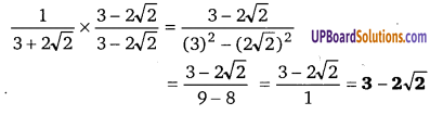
प्रश्न 2.
[latex]\frac{1}{3+2 \sqrt{2}}[/latex]
हलः
हर का परिमेयीकरण करने पर,

प्रश्न 3.
[latex]\frac{1}{\sqrt{7}-\sqrt{6}}[/latex] [NCERT]
हलः
हर का परिमेयीकरण करने पर,

प्रश्न 4.
[latex]\frac{1}{\sqrt{5}+\sqrt{2}}[/latex] [NCERT]
हलः
हर का परिमेयीकरण करने पर,

In Algebra, 1/32 to decimals are one of the types of numbers, which has a whole number and the fractional part separated by a decimal point.
प्रश्न 5.
[latex]\frac{1}{\sqrt{7}-2}[/latex] [NCERT]
हलः
हर का परिमेयीकरण करने पर,

प्रश्न 6.
[latex]\frac{1}{\sqrt{7}}[/latex] [NCERT]
हलः
हर का परिमेयीकरण करने पर,
[latex]\frac{1}{\sqrt{7}} \times \frac{\sqrt{7}}{\sqrt{7}}=\frac{\sqrt{7}}{7}[/latex]
Ex 3.2 Rationalisation लघु उत्तरीय प्रश्न (Short Answer Type Questions)
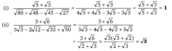
निम्न संख्याओं में हर का परिमेयीकरण कीजिए- (प्रश्न 7 – 10)
![]()
प्रश्न 7.
[latex]\frac{1}{8+5 \sqrt{2}}[/latex]
हलः
![]()
प्रश्न 8.
[latex]\frac{6}{\sqrt{5}+\sqrt{2}}[/latex]
हलः
हर के संयुग्मी से गुणा व भाग करने पर,

Click here to get an answer to your question ✍️ How do you write 9/20 as a decimal?
प्रश्न 9.
[latex]\frac{2}{\sqrt{3}-\sqrt{5}}[/latex]
हलः

प्रश्न 10.
[latex]\frac{\sqrt{3}+\sqrt{2}}{\sqrt{3}-\sqrt{2}}[/latex] [NCERT Exemplar]
हलः

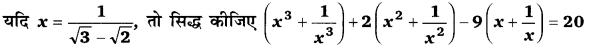
प्रश्न 11.
यदि x = 2 + [latex]\sqrt{15}[/latex] तब x + [latex]\frac{1}{x}[/latex] का मान ज्ञात कीजिए।
हलः

प्रश्न 12.
यदि x = 2 + [latex]\sqrt{3}[/latex], तब x2 + [latex]\frac{1}{x^{2}}[/latex] का मान ज्ञात कीजिए।
हलः

प्रश्न 13.
यदि x = 7 + [latex]4 \sqrt{3}[/latex], तब x + [latex]\frac{1}{x}[/latex] का मान ज्ञात कीजिए। .
हल:

प्रश्न 14.
निम्न में से प्रत्येक को परिमेय हर के रूप में व्यक्त कीजिए।

हलः


![]()
प्रश्न 15.
हर का परिमेयीकरण कर, निम्न को सरल कीजिए।

हल:

प्रश्न 16.
निम्न को सरल कीजिए।

हलः



![]()
प्रश्न 17.
निम्न में से प्रत्येक से a तथा b के मान ज्ञात कीजिए।

हल:



प्रश्न 18.
यदि x = [latex]\frac{\sqrt{5}-2}{\sqrt{5}+2}[/latex] तथा y = [latex]\frac{\sqrt{5}+2}{\sqrt{5}-2}[/latex], तब निम्न के मान ज्ञात कीजिए।
(i) x2
(ii) y2
(iii) xy
(iv) x2 + y2 + xy
हल:

प्रश्न 19.
यदि x = [latex]5-2 \sqrt{6}[/latex], तब निम्न के मान ज्ञात कीजिए।

हल:

प्रश्न 20.
यदि a = [latex]\frac{1}{3-\sqrt{8}}[/latex] , b = [latex]\frac{1}{3+\sqrt{8}}[/latex] तब निम्न के मान ज्ञात कीजिए।
(i) a2
(ii) b2
(iii) ab
(iv) 52 – 6ab + 3b2
हलः

![]()
प्रश्न 21.
निम्न में से प्रत्येक का मान दशमलव के तीन स्थानों तक ज्ञात कीजिए।
यदि दिया है: [latex]\sqrt{2}[/latex] = 1.4142, [latex]\sqrt{3}[/latex] = 1.732, [latex]\sqrt{5}[/latex] = 2.2360, [latex]\sqrt{6}[/latex] = 2.4445, [latex]\sqrt{10}[/latex] = 3.162

हलः


प्रश्न 22.
सरल कीजिए।

हलः


प्रश्न 23.
यदि x = [latex]\frac{\sqrt{5}+\sqrt{2}}{\sqrt{5}-\sqrt{2}}[/latex] तथा y = [latex]\frac{\sqrt{5}-\sqrt{2}}{\sqrt{5}+\sqrt{2}}[/latex] तब 3x2 + 4xy-3y2 का मान ज्ञात कीजिए।
हलः

![]()
प्रश्न 24.
a तथा b का मान ज्ञात कीजिए।

हलः


प्रश्न 25.
यदि [latex]\frac{\sqrt{3}+1}{\sqrt{3}-1}=a+b \sqrt{3}[/latex], तब a व b के मान ज्ञात कीजिए।
हलः
हर का परिमेयीकरण करने पर,


दोनों पक्षों की तुलना से a = 2 व b = 1
प्रश्न 26.
यदि [latex]\frac{5-\sqrt{6}}{5+\sqrt{6}}=a-b \sqrt{6}[/latex], तब a व b के मान ज्ञात कीजिए।
हलः
हर का परिमेयीकरण करने पर

प्रश्न 27.
यदि x =[latex]\frac{1}{3-2 \sqrt{2}}[/latex], y = [latex]\frac{1}{3+2 \sqrt{2}}[/latex], तब xy2 + x2y का मान ज्ञात कीजिए।
हलः

प्रश्न 28.
यदि [latex]\sqrt{3}[/latex] = 1.732 व [latex]\sqrt{5}[/latex] = 2.236, तब [latex]\frac{6}{\sqrt{5}-\sqrt{3}}[/latex] का मान ज्ञात कीजिए।
हलः
हर का परिमेयीकरण करने पर

Ex 3.2 Rationalisation बहुविकल्पीय (Multiple Choice Questions)
सही विकल्प का चयन कीजिए
प्रश्न 1.
यदि [latex]x+\sqrt{15}=4[/latex] तब [latex]x+\frac{1}{x}[/latex]
(a) 8
(b) 4
(c) 15
(d) इनमें से कोई नहीं
हलः

अतः विकल्प (a) सही है।
![]()
प्रश्न 2.
[latex]3 \sqrt{5}-\sqrt{7}[/latex] का सरलतम परिमेय गुणनखण्ड है
![]()
हल:
[latex]3 \sqrt{5}-\sqrt{7}[/latex] का सरलतम परिमेय गुणनखण्ड = [latex]3 \sqrt{5}-\sqrt{7}[/latex]
अतः विकल्प (c) सही है।
प्रश्न 3.
यदि x = 7 + [latex]4 \sqrt{3}[/latex] व xy = 1, तब [latex]\frac{1}{x^{2}}+\frac{1}{y^{2}}=[/latex] =
(a) 194
(b) 28
(c) 1915
(d) इनमें से कोई नहीं
हलः

अतः विकल्प (a) सही है।
प्रश्न 4.
यदि x = [latex]\sqrt[3]{2+\sqrt{3}}[/latex], तब [latex]x^{3}+\frac{1}{x^{3}}[/latex]
(a) 3
(b) 5
(c) 4
(d) 6
हलः

अतः विकल्प (c) सही है।
प्रश्न 5.
[latex]\sqrt{3-2 \sqrt{2}}[/latex] का मान
![]()
हलः

अतः विकल्प (c) सही है।
प्रश्न 6.
यदि x = 4 – [latex]\sqrt{15}[/latex], तब x + [latex]\frac{\mathbf{1}}{\mathbf{x}}[/latex] =
(a) 8
(b) 4
(c) 15
(d) 12
हलः

अतः विकल्प (a) सही है।
प्रश्न 7.
7 + [latex]\sqrt{48}[/latex], का धनात्मक वर्गमूल है।
![]()
हलः

अतः विकल्प (a) सही है।
![]()
प्रश्न 8.
यदि [latex]\sqrt{2}[/latex] = 1.414, तब [latex]\sqrt{\frac{\sqrt{2}-1}{\sqrt{2}+1}}=[/latex] (NCERT Exemplar)
(a) 1.414
(b) 2.07
(c) 0.414
(d) इनमें से कोई नहीं-
हलः

अतः विकल्प (c) सही है।
Ex 3.2 Rationalisation स्वमूल्यांकन परीक्षण (Self Assessment Test)
प्रश्न 1.
[latex]\frac{5}{\sqrt{3}-\sqrt{5}}[/latex] = के हर का परिमेयीकरण कीजिए।
हलः

प्रश्न 2.
[latex]\frac{1}{7+3 \sqrt{2}}[/latex] के हर का परिमेयीकरण कीजिए।
हलः
![]()
प्रश्न 3.
![]()
हलः

प्रश्न 4.
यदि a = 8 + [latex]3 \sqrt{7}[/latex] व b = [latex]\frac{1}{8+3 \sqrt{7}}[/latex], तब सिद्ध कीजिए कि a2 + b2 = 254
हलः
हर का परिमेयीकरण करने पर

प्रश्न 5.

हलः

प्रश्न 6.

हलः

प्रश्न 7.
![]()
हल:

प्रश्न 8.
![]()
हलः

![]()
प्रश्न 9.
![]()
हलः

प्रश्न 10
![]()
हल:

प्रश्न 11.

हलः

![]()
प्रश्न 12.

हलः

प्रश्न 13.

हलः

प्रश्न 14.
सिद्ध कीजिए कि
![]()
हलः

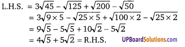
प्रश्न 15.

हलः


प्रश्न 16.
सिद्ध कीजिए कि

हलः

प्रश्न 17.

हलः

प्रश्न 18.
सिद्ध कीजिए कि
![]()
हलः
