UP Board Solutions for Class 11 Maths Chapter 15 Statistics

UP Board Solutions for Class 11 Maths Chapter 15 Statistics (सांख्यिकी)

These Solutions are part of UP Board Solutions for Class 11 Maths. Here we have given UP Board Solutions for Class 11 Maths Chapter 15 Statistics (सांख्यिकी).

प्रश्नावली 15.1

प्रश्न 1 व 2 में दिए गए आँकड़ों के लिए माध्य के सापेक्ष विचलन ज्ञात कीजिए:

प्रश्न 1.
4, 7, 8, 9, 10, 12, 13, 17.
UP Board Solutions for Class 11 Maths Chapter 15 Statistics 15.1 1

UP Board Solutions

प्रश्न 2.
38, 70, 48, 40, 42, 55, 63, 46, 54, 44.
UP Board Solutions for Class 11 Maths Chapter 15 Statistics 15.1 2

प्रश्न 3 व 4 के आँकड़ों के लिए माध्यिका के सापेक्ष माध्य विचलन ज्ञात कीजिए:

प्रश्न 3.
13, 17, 16, 14, 11, 13, 10, 16, 11, 18, 12, 17.
हल:
आँकड़ों को आरोही क्रम में लिखने (UPBoardSolutions.com) पर
10, 11, 11, 12, 13, 13, 14, 16, 16, 17, 17, 18
UP Board Solutions for Class 11 Maths Chapter 15 Statistics 15.1 3

प्रश्न 4.
36, 72, 46, 42, 60, 45, 53, 46, 51, 49.
UP Board Solutions for Class 11 Maths Chapter 15 Statistics 15.1 4

UP Board Solutions

प्रश्न 5 व 6 के आँकड़ों के लिए माध्य के सापेक्ष माध्य विचलन ज्ञात कीजिए:

प्रश्न 5.
UP Board Solutions for Class 11 Maths Chapter 15 Statistics 15.1 5
हल:
UP Board Solutions for Class 11 Maths Chapter 15 Statistics 15.1 5.1

प्रश्न 6.
UP Board Solutions for Class 11 Maths Chapter 15 Statistics 15.1 6
हल:
UP Board Solutions for Class 11 Maths Chapter 15 Statistics 15.1 6.1

UP Board Solutions

प्रश्न 7 व 8 के आँकड़ों के लिए माध्यिका के सापेक्ष माध्यै विचलन ज्ञात कीजिए:

प्रश्न 7.
UP Board Solutions for Class 11 Maths Chapter 15 Statistics 15.1 7
UP Board Solutions for Class 11 Maths Chapter 15 Statistics 15.1 7.1

प्रश्न 8.
UP Board Solutions for Class 11 Maths Chapter 15 Statistics 15.1 8
हल:
UP Board Solutions for Class 11 Maths Chapter 15 Statistics 15.1 8.1

UP Board Solutions

प्रश्न 9 व 10 के आँकड़ों के लिए मध्य के सापेक्ष माध्य विचलन ज्ञात कीजिए।

प्रश्न 9.
UP Board Solutions for Class 11 Maths Chapter 15 Statistics 15.1 9
UP Board Solutions for Class 11 Maths Chapter 15 Statistics 15.1 9.1
UP Board Solutions for Class 11 Maths Chapter 15 Statistics 15.1 9.2

UP Board Solutions

प्रश्न 10.
UP Board Solutions for Class 11 Maths Chapter 15 Statistics 15.1 10
हल:
UP Board Solutions for Class 11 Maths Chapter 15 Statistics 15.1 10.1
UP Board Solutions for Class 11 Maths Chapter 15 Statistics 15.1 10.2

प्रश्न 11.
निम्नलिखित आँकड़ों के लिए माध्यिका के सापेक्ष माध्य विचलन ज्ञात कीजिए:
UP Board Solutions for Class 11 Maths Chapter 15 Statistics 15.1 11
हल:
UP Board Solutions for Class 11 Maths Chapter 15 Statistics 15.1 11.1
UP Board Solutions for Class 11 Maths Chapter 15 Statistics 15.1 11.2

UP Board Solutions

प्रश्न 12.
नीचे दिए गए 100 व्यक्तियों की आयु के बंटन की माध्यिका आयु के सापेक्ष माध्य विचलन की गणना कीजिए:
UP Board Solutions for Class 11 Maths Chapter 15 Statistics 15.1 12
हल:
UP Board Solutions for Class 11 Maths Chapter 15 Statistics 15.1 12.1
UP Board Solutions for Class 11 Maths Chapter 15 Statistics 15.1 12.2

UP Board Solutions

प्रश्नावली 15.2

प्रश्न 1 से 5 तक के लिए आँकड़ों के लिए माध्य व प्रसरण ज्ञात कीजिए।

प्रश्न 1.
6, 7, 10, 12, 13, 4, 8, 12.
हल:
UP Board Solutions for Class 11 Maths Chapter 15 Statistics 15.2 1

प्रश्न 2.
प्रथम n प्राकृत संख्याएँ।
UP Board Solutions for Class 11 Maths Chapter 15 Statistics 15.2 2
UP Board Solutions for Class 11 Maths Chapter 15 Statistics 15.2 2.1

UP Board Solutions

प्रश्न 3.
3 के प्रथम 10 गुणज।
हल:
प्रथम दस 3 के गुणज : 3, 6, 9, 12, 15, 18, 21, 24, 27, 30
UP Board Solutions for Class 11 Maths Chapter 15 Statistics 15.2 3
UP Board Solutions for Class 11 Maths Chapter 15 Statistics 15.2 3.1

प्रश्न 4.
UP Board Solutions for Class 11 Maths Chapter 15 Statistics 15.2 4
हल:
UP Board Solutions for Class 11 Maths Chapter 15 Statistics 15.2 4.1
UP Board Solutions for Class 11 Maths Chapter 15 Statistics 15.2 4.2

UP Board Solutions

प्रश्न 5.
UP Board Solutions for Class 11 Maths Chapter 15 Statistics 15.2 5
UP Board Solutions for Class 11 Maths Chapter 15 Statistics 15.2 5.1
UP Board Solutions for Class 11 Maths Chapter 15 Statistics 15.2 5.2

प्रश्न 6.
लघु विधि द्वारा माध्ये वे मानक विचलन ज्ञात कीजिए:
UP Board Solutions for Class 11 Maths Chapter 15 Statistics 15.2 6
UP Board Solutions for Class 11 Maths Chapter 15 Statistics 15.2 6.1
UP Board Solutions for Class 11 Maths Chapter 15 Statistics 15.2 6.2

UP Board Solutions

प्रश्न 7 व 8 में दिए गए बारंबारता बंटन के लिए माध्य व प्रसरण ज्ञात कीजिए:

प्रश्न 7.
UP Board Solutions for Class 11 Maths Chapter 15 Statistics 15.2 7
UP Board Solutions for Class 11 Maths Chapter 15 Statistics 15.2 7.1

UP Board Solutions

प्रश्न 8.
UP Board Solutions for Class 11 Maths Chapter 15 Statistics 15.2 8
UP Board Solutions for Class 11 Maths Chapter 15 Statistics 15.2 8.1
UP Board Solutions for Class 11 Maths Chapter 15 Statistics 15.2 8.2

प्रश्न 9.
लघु विधि द्वारा माध्य, प्रसरण व मानक विचलन ज्ञात कीजिए।
UP Board Solutions for Class 11 Maths Chapter 15 Statistics 15.2 9
UP Board Solutions for Class 11 Maths Chapter 15 Statistics 15.2 9.1
UP Board Solutions for Class 11 Maths Chapter 15 Statistics 15.2 9.2

UP Board Solutions

प्रश्न 10.
एक डिजाइन में बनाए गए वृत्तों के व्यास (मिमी में) नीचे दिए गए हैं।
UP Board Solutions for Class 11 Maths Chapter 15 Statistics 15.2 10
वृत्तों के व्यासों का मानक विचलन के माध्य व्यास ज्ञात कीजिए।
हल:
दिए हुए असतत आँकड़ों को सतत (UPBoardSolutions.com) बारंबारता बंटन में बदलने के लिए अंतराल इस प्रकार हैं।
32.5 – 36.5, 36.5 – 40.5, 40.50 – 44.5, 44.5 – 48.5, 48.5 – 52.5
UP Board Solutions for Class 11 Maths Chapter 15 Statistics 15.2 10.1
UP Board Solutions for Class 11 Maths Chapter 15 Statistics 15.2 10.2

UP Board Solutions

प्रश्नावली 15.3

प्रश्न 1.
निम्नलिखित आँकड़ों से बताइए कि A या B में से किसमें अधिक बिखराव है।
UP Board Solutions for Class 11 Maths Chapter 15 Statistics 15.3 1
हल:
माना कल्पित माध्य A = 45, h = 10.
UP Board Solutions for Class 11 Maths Chapter 15 Statistics 15.3 1.1
UP Board Solutions for Class 11 Maths Chapter 15 Statistics 15.3 1.2
UP Board Solutions for Class 11 Maths Chapter 15 Statistics 15.3 1.3
UP Board Solutions for Class 11 Maths Chapter 15 Statistics 15.3 1.4

UP Board Solutions

प्रश्न 2.
शेयरों X और Y के नीचे दिए गए मूल्यों से बताइए कि किसके मूल्यों में अधिक स्थिरता है ?
UP Board Solutions for Class 11 Maths Chapter 15 Statistics 15.3 2
हल:
माना शेयर X के आँकड़ों में कल्पित माध्य = 52
और शेयर Y के आँकड़ों (UPBoardSolutions.com) में कल्पित माUP Board Solutions for Class 11 Maths Chapter 15 Statistics 15.3 2.1ध्य = 105
UP Board Solutions for Class 11 Maths Chapter 15 Statistics 15.3 2.2
UP Board Solutions for Class 11 Maths Chapter 15 Statistics 15.3 2.3
UP Board Solutions for Class 11 Maths Chapter 15 Statistics 15.3 2.4

UP Board Solutions

प्रश्न 3.
एक कारखाने की दो फर्मों A और B के कर्मचारियों को दिए मासिक वेतन के विश्लेषण का निम्नलिखित परिणाम है:
UP Board Solutions for Class 11 Maths Chapter 15 Statistics 15.3 3
(i) A और B में से कौन सी फर्म अपने कर्मचारियों को वेतन के रूप में अधिक राशि देती है?
(ii) व्यक्तिगत वेतनों में किस फर्म A या B में अधिक विचरण है ?
हल:
फर्म A के लिए :
वेतन पाने वाले कर्मचारियों की संख्या = 586
मासिक वेतन की माध्य = 5253 रू
फर्म A द्वारा दिया गया कुल (UPBoardSolutions.com) वेतन = 5253 x 586 = 3078258 रू
वेतन बंटन का प्रसरण = 100
मानक विचलन = 10
विचरण गुणांक = [latex s=2]\frac { \sigma }{ \overline { x } }[/latex] x 100
= [latex s=2]\frac { 10 }{ 5253 }[/latex] x 100
= [latex s=2]\frac { 1000 }{ 5253 }[/latex]
= 0.19
फर्म B के लिए:
वेतन पाने वाले कर्मचारियों की संख्या = 648
मासिक वेतन का संख्या = 5253 रू
फर्म B द्वारा गया कुल वेतन = 5253 x 648 रू = 3403944 रू
वेतन बंटन का प्रसरण = 121
मानक विचलन = 11
विचरण गुणांक = [latex s=2]\frac { \sigma }{ \overline { x } }[/latex] x 100
= [latex s=2]\frac { 11 }{ 5253 }[/latex] x 100 = 0.21
(i) फर्म A द्वारा दिया गया कुल मासिक वेतन = 3078258 रू
फर्म B द्वारा दिया गया कुल मासिक वेतन = 3403944 रू
अत: फर्म B फर्म A की तुलना में अधिक मासिक वेतन देती है।
(ii) फर्म A के वेतन बंटन की विचरण गुणांक = 0.19 और
फर्म A के वेतन बंटन का विचरण गुणांक = 0.21
अतः फर्म B के वेतन बंटन में अधिक (UPBoardSolutions.com) बिखराव है।

UP Board Solutions

प्रश्न 4.
टीम A द्वारा एक सत्र में खेले गए फुटबॉल मैचों के आँकड़े नीचे दिए गए हैं:
UP Board Solutions for Class 11 Maths Chapter 15 Statistics 15.3 4
टीम B द्वारा खेले गए मैचों में बनाए गए गोलोंकमाथ्य 2 प्रति मैच और गोलों का मानक विचलन 1.25 था।
किस टीम को अधिक संगत (consistent) समझा जाना चाहिए ?
UP Board Solutions for Class 11 Maths Chapter 15 Statistics 15.3 4.1
UP Board Solutions for Class 11 Maths Chapter 15 Statistics 15.3 4.2
UP Board Solutions for Class 11 Maths Chapter 15 Statistics 15.3 4.3

प्रश्न 5.
पचास वनस्पति उत्पादों की लंबाई x (सेमी में) और भार y (ग्राम में) के योग और वर्गों के योग नीचे दिए गए हैं।
UP Board Solutions for Class 11 Maths Chapter 15 Statistics 15.3 5
लंबाई या भार में किसमें अधिक विचरण है ?
हल:
लंबाई के लिए:
UP Board Solutions for Class 11 Maths Chapter 15 Statistics 15.3 5.1
UP Board Solutions for Class 11 Maths Chapter 15 Statistics 15.3 5.2
UP Board Solutions for Class 11 Maths Chapter 15 Statistics 15.3 5.3

UP Board Solutions

अध्याय 15 पर विविध प्रश्नावली

प्रश्न 1.
आठ प्रेक्षणों का माध्य तथा प्रसरण क्रमशः 9 और 9.25 है। यदि इनमें से छः प्रेक्षण 6, 7, 10, 12, 12, और 13 हैं, तो शेष दो प्रेक्षण ज्ञात कीजिए।
UP Board Solutions for Class 11 Maths Chapter 15 Statistics 1
UP Board Solutions for Class 11 Maths Chapter 15 Statistics 1.1

UP Board Solutions

प्रश्न 2.
सात प्रेक्षणों का माध्य तथा प्रसरण क्रमशः 8 और 16 हैं। यदि इनमें से पाँच प्रेक्षण 2, 4, 10, 12, 14 हैं तो शेष दो प्रेक्षण ज्ञात कीजिए।
UP Board Solutions for Class 11 Maths Chapter 15 Statistics 2
UP Board Solutions for Class 11 Maths Chapter 15 Statistics 2.1

प्रश्न 3.
छः प्रेक्षणों को माध्य तथा मानक विचलन क्रमशः 8 तथा 4 हैं। यदि प्रत्येक प्रेक्षण को 3 से गुणा कर दिया जाए तो परिणामी प्रेक्षणों का माध्य व मानक विचलन ज्ञात कीजिए।
UP Board Solutions for Class 11 Maths Chapter 15 Statistics 3

UP Board Solutions

UP Board Solutions for Class 11 Maths Chapter 15 Statistics 4
UP Board Solutions for Class 11 Maths Chapter 15 Statistics 4.1

प्रश्न 5.
बीस प्रेक्षणों का माध्य तथा मानक विचलन क्रमशः 10 तथा 2 हैं। जांच करने पर यह पाया गया कि प्रेक्षण 8 गलत है। निम्न में से प्रत्येक का सही मध्य तथा मानक विचलन ज्ञात कीजिए यदि
(i) गलत प्रेक्षण हटा दिया जाए।
(ii) उसे 12 से बदल दिया जाए।
UP Board Solutions for Class 11 Maths Chapter 15 Statistics 5
UP Board Solutions for Class 11 Maths Chapter 15 Statistics 5.1
UP Board Solutions for Class 11 Maths Chapter 15 Statistics 5.2

UP Board Solutions

प्रश्न 6.
एक कक्षा के पचास छात्रों द्वारा तीन विषयों गणित, भौतिक शास्त्र व रसायन शास्त्र में प्राप्तांकों का माध्य व मानक विचलन नीचे दिए गए हैं:
UP Board Solutions for Class 11 Maths Chapter 15 Statistics 6
किस विषय में सबसे अधिक विचलन है तथा किसमें सबसे कम विचलन है?
UP Board Solutions for Class 11 Maths Chapter 15 Statistics 6.1

प्रश्न 7.
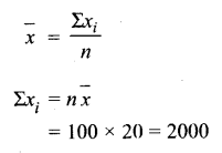
100 प्रेक्षणों का माध्य और मानक विचलन क्रमशः 20 और 3 हैं। बाद में यह पाया गया कि तीन प्रेक्षण 21, 21 तथा 18 गलत थे। यदि गलत प्रेक्षणों को हटा दिया जाए तो माध्य व मानक विचलन ज्ञात कीजिए।
हल:
UP Board Solutions for Class 11 Maths Chapter 15 Statistics 7
UP Board Solutions for Class 11 Maths Chapter 15 Statistics 7.1

We hope the UP Board Solutions for Class 11 Maths Chapter 15 Statistics (सांख्यिकी) help you. If you have any query regarding UP Board Solutions for Class 11 Maths Chapter 15 Statistics (सांख्यिकी), drop a comment below and we will get back to you at the earliest.

1 thought on “UP Board Solutions for Class 11 Maths Chapter 15 Statistics”

Leave a Comment