UP Board Solutions for Class 12 Physics Chapter 15 Communication Systems (संचार व्यवस्था) are part of UP Board Solutions for Class 12 Physics. Here we have given UP Board Solutions for Class 12 Physics Chapter 15 Communication Systems (संचार व्यवस्था).
| Board | UP Board |
| Textbook | NCERT |
| Class | Class 12 |
| Subject | Physics |
| Chapter | Chapter 15 |
| Chapter Name | Communication Systems (संचार व्यवस्था) |
| Number of Questions Solved | 45 |
| Category | UP Board Solutions |
UP Board Solutions for Class 12 Physics Chapter 15 Communication Systems (संचार व्यवस्था)
अभ्यास के अन्तर्गत दिए गए प्रश्नोत्तर
प्रश्न 1:
व्योम तरंगों के उपयोग द्वारा क्षितिज के पार संचार के लिए निम्नलिखित आवृत्तियों में से कौन-सी आवृत्ति उपयुक्त रहेगी?
(a) 10 kHz
(b) 10 MHz
(c) 1 GHz
(d) 1000 GHz
उत्तर:
(b) 10 MHz
3 MHz से 30 MHz आवृत्ति तक की तरंगें व्योम तरंगों की श्रेणी में आती हैं। इससे उच्च आवृत्ति की तरंगें (जैसे-1GHz, 1000 GHz) आयन मण्डल को भेदकर पार निकल जाती हैं जबकि 10 kHz आवृत्ति की तरंगें ऐन्टीना की ऊँचाई अधिक होने के कारण उपयोगी नहीं हैं।
![]()
प्रश्न 2:
UHF परिसर की आवृत्तियों का प्रसारण प्रायः किसके द्वारा होता है?
(a) भू-तरंगें
(b) व्योम तरंगें
(c) पृष्ठीय तरंगें
(d) आकाश तरंगें
उत्तर:
(d) आकाश तरंगें। UHF परिसर में प्रसारण आकाश तरंगों द्वारा ही होता है।
प्रश्न 3:
अंकीय सिगनल :
(i) मानों का संतत समुच्चय प्रदान नहीं करते।
(ii) मानों को विविक्त चरणों के रूप में निरूपित करते हैं।
(iii) द्विआधारी पद्धति का उपयोग करते हैं।
(iv) दशमलव के साथ द्विआधारी पद्धति का भी उपयोग करते हैं। उपरोक्त प्रकथनों में कौन-से सत्य ?
(a) केवल (i) तथा (ii)
(b) केवल (ii) तथा (iii)
(c) (i), (ii) तथा (iii) परन्तु (iv) नहीं
(d) (i), (ii), (iii) तथा (iv) सभी
उत्तर:
(c) (i), (ii) तथा (iii) सत्य हैं परन्तु (iv) सत्य नहीं है।
अंकीय सिगनल द्विआधारी पद्धति (अंकों 0 तथा 1) का उपयोग करते हैं। अत: मानों का सतत समुच्चय प्रदान करने के स्थान पर उन्हें विविक्त चरणों में निरूपित करते हैं।
प्रश्न 4:
दृष्टिरेखीय संचार के लिए क्या यह आवश्यक है कि प्रेषक ऐन्टीना की ऊँचाई अभिग्राही ऐन्टीना की ऊँचाई के बराबर हो? कोई TV प्रेषक ऐन्टीना 81m ऊँचा है। यदि अभिग्राही ऐन्टीना भूस्तर पर है तो यह कितने क्षेत्र में सेवाएँ प्रदान करेगा?
हल:
नहीं, प्रायः ग्राही ऐन्टीना की ऊँचाई प्रेषी ऐन्टीना से अधिक होती है।
प्रेषी को रेडियो-क्षितिज, dT = [latex]\sqrt { 2{ R }_{ e }{ \quad h }_{ T } }[/latex]
जिसमें Re पृथ्वी की त्रिज्या है।
सेवा-क्षेत्रफल (service area),
A = π[latex]{ d }_{ T }^{ 2 }[/latex]
= π. 2RhT
दिया है, hT = 81 m,
Re = 6.4 x 106 m ।
= 3.14 x 2 x 6.4 x 106 x 81 m2
= 3258 x 106 m2 = 3258 km2
![]()
प्रश्न 5:
12v शिखर वोल्टता की वाहक तरंग का उपयोग किसी संदेश सिगनल के प्रेषण के लिए किया गया है। माडुलन सूचकांक 75% के लिए माडुलक सिगनल की शिखर वोल्टता कितनी होनी चाहिए?
हल:
माडुलन सूचकांक, ma= [latex]\frac { { E }_{ m } }{ { E }_{ c } } [/latex]
a E. माडुलक सिगनल का शिखर मान, Em = ma Ea
दिया है, ma = 75% = 0.75,
Ec = 12V
∴ Em = 0.75 x 12V = 9V
प्रश्न 6:
चित्र 15.1 में दर्शाए अनुसार कोई माडुलक सिगनल वर्ग तरंग है।

दिया गया है कि वाहक तरंग c(t) = 2 sin (8πt)V
(i) आयाम माडुलित तरंग रूप आलेखित कीजिए।
(ii) माडुलन सूचकांक क्या है?
हल:


प्रश्न 7:
किसी माडुलित तरंग का अधिकतम आयाम 10V तथा न्यूनतम आयाम 2V पाया जाता है। माडुलन सूचकांक μ का मान निश्चित कीजिए।
यदि न्यूनतम आयाम शून्य वोल्ट हो तो माडुलन सूचकांक क्या होगा?
हल:
दिया है, Emax = 10 V, Emin = 2V

प्रश्न 8:
आर्थिक कारणों से किसी AM तरंग का केवल ऊपरी पाश्र्व बैंड ही प्रेषित किया जाता है, परन्तु ग्राही स्टेशन पर वाहक तरंग उत्पन्न करने की सुविधा होती है। यह दर्शाइए कि यदि कोई ऐसी युक्ति उपलब्ध हो जो दो सिगनलों की गुणा कर सके तो ग्राही स्टेशन पर माडुलक सिगनल की पुनःप्राप्ति सम्भव है।
हल:
माना वाही तरंग , ec = Ec cos ωc t …(1)
यदि सूचना माडुलक सिगनल की कोणीय आवृत्ति ωmt हो, तो ग्रहण किया गया सिगनल होगा है
er = Er cos (ωc +ωm) t …(2)
समीकरण (1) व (2) को गुणा करने पर,
e= Ec Ercos ωct t cos (ωc + ωm)t
सूत्र 2 cos A cos B = cos (A + B) + cos (A – B) का प्रयोग करने पर,
e = [latex]\frac { { E }_{ c }{ E }_{ r } }{ 2 }[/latex] [cos (2ωc +ωm) t + cos ωmt ]
यदि इस सिगनल को लो-पास फिल्टर (low pass filter) में से गुजारा जाए, तो उच्च आवृत्ति (2ωc +ωm ) का सिगनले रुक जाएगा तथा केवल ωm आवृत्ति को सिगनल ही गुजरेगा।
अत: हमें माडुलक सिगनल, em = [latex]\frac { { E }_{ c }{ E }_{ r } }{ 2 }[/latex]cos ωmt प्राप्त हो जायेगा।
परीक्षोपयोगी प्रश्नोत्तर
बहुविकल्पीय प्रश्न
![]()
प्रश्न 1:
वाहक तरंग की आवृत्ति fc के साथ श्रव्य तरंग आवृत्ति fm के मॉड्यूलेशन से प्राप्त बैण्ड चौड़ाई का मान होगा (2015, 17)
(i) 2fc
(ii) 2fm
(iii) fm +fc
(iv) fm – fc
उत्तर:
(ii) 2fm
प्रश्न 2:
200 KHz की वाहक आवृत्ति और 10 kHz के मॉडुलन संकेत के लिए आयाम मॉडुलित (AM) सिगनल की बैण्ड चौड़ाई होगी (2016)
(i) 20 kHz
(ii) 210 kHz
(iii) 400 kHz
(iv) 190 kHz
उत्तर:
(iii) 400 kHz
प्रश्न 3:
आयर्न मण्डल से निम्न में से कौन-सी आवृत्ति परावर्तित हो सकती है? (2018)
(i) 5 KHz
(ii) 5 MHz
(iii) 5 GHz
(iv) 500 MHz
उत्तर:
(ii) 5 MHz
![]()
प्रश्न 4:
UHF परास की आवृत्तियाँ सामान्यतः संचरित होती हैं
(i) भू-तरंगों द्वारा
(i) व्योम तरंगों द्वारा
(iii) पृष्ठ तरंगों द्वारा
(iv) आकाश तरंगों द्वारा
उत्तर:
(iv) आकाश तरंगों द्वारा
प्रश्न 5:
निम्न में से कौन विद्युत चुम्बकीय तरंग नहीं है? (2017)
(i) प्रकाश तरंगें
(ii) रेडियो तरंगें
(iii) X-किरणें
(iv) ध्वनि तरंगें
उत्तर:
(iv) ध्वनि तरंगें
प्रश्न 6:
उच्च आवृत्ति तरंगों पर संदेश संकेत के अध्यारोपण की प्रक्रिया कहलाती है (2016)
(i) संचरण
(ii) मॉड्यूलन
(iii) संसूचन
(iv) अभिग्रहण
उत्तर:
(ii) मॉड्यूलन
प्रश्न 7:
यदि संप्रेषी ऐण्टीना की ऊँचाई h1 तथा अभिग्राही ऐण्टीना की ऊँचाई h2 हो तब दृष्टिरेखीय (LOS) संचरण विधि में संतोषजनक संचरण के लिए दोनों ऐण्टीनों के बीच की अधिकतम दूरी होती है। (पृथ्वी की त्रिज्या = R) (2016)

उत्तर:
![]()
अतिलघु उत्तरीय प्रश्न
प्रश्न 1:
संचार व्यवस्था की तीन मूल इकाइयाँ (तत्त्व) क्या हैं?
उत्तर:
- प्रेषित्र,
- संचार चैनल,
- अभिग्राही।
![]()
प्रश्न 2:
ट्रांसड्यूसर क्या है?
उत्तर:
यह वह युक्ति है जिसका उपयोग ऊर्जा को एक रूप से दूसरे रूप में परिवर्तित करने के लिए किया जाता है।
प्रश्न 3:
दिए गए ब्लॉक आरेख में संचार व्यवस्था के X तथाY भागों को पहचानिए (2017)

उत्तर:
X-सूचना स्रोत, Y-चैनल
प्रश्न 4:
सूचना सिगनल किसे कहते हैं?
उत्तर:
सूचना, भाषण, संगीत आदि को किसी उचित ट्रांसड्यूसर द्वारा विद्युत सिगनल में परिवर्तित किया जाता है। यह सिगनल ही सूचना (संदेश) सिगनल कहलाता है।
प्रश्न 5:
सिगनल की बैण्ड-चौड़ाई से आप क्या समझते हैं? (2014, 17)
या
बैण्ड चौड़ाई को परिभाषित कीजिए। (2017)
उत्तर:
किसी सिगनल में अधिकतम तथा न्यूनतम आवृत्तियों के अन्तर को आवृत्ति परास कहते हैं। यही बैण्ड-चौड़ाई भी कहलाती है।
![]()
प्रश्न 6:
व्योम तरंग संचरण (sky wave propagation) क्या है? इनकी आवृत्ति बताइए। (2014, 17, 18)
उत्तर:
वह संचरण प्रक्रिया जिसमें वाहक तरंगों का संचरण आयन मण्डल से तरंगों के परावर्तन से होता है, व्योम तरंग संचरण कहलाती है। व्योम तरंगों की आवृत्ति 1.5 मेगाहर्ट्ज से 30 मेगाहर्ट्ज तक होती है।
प्रश्न 7:
आकाश तरंगें क्या हैं? इनकी आवृत्ति बताइए। (2017)
उत्तर:
अति उच्च आवृत्ति (30 मेगाहर्ट्ज़ से 300 मेगाहर्ट्ज), परा उच्च आवृत्ति (300 मेगाहर्ट्ज से 3000 मेगाहर्ट्ज) तथा 3000 मेगाहर्ट्ज से उच्च आवृत्ति की रेडियो तरंगें आकाश तरंगें कहलाती हैं।
प्रश्न 8:
आकाश तरंग संचरण से आप क्या समझते हैं? इन तरंगों का संचरण किन विधियों के द्वारा किया जाता है? (2014, 17)
उत्तर:
वह तरंग संचरण जिसमें आकाश तरंगें प्रेषण ऐण्टीना से अभिग्राही ऐण्टीना तक दृष्टि रेखा पथ पर गमन करती हैं।
इन तरंगों का संचरण निम्न दो प्रकार से किया जा सकता है
- भू-स्थिर संचार उपग्रहों के द्वारा।
- सीधे प्रेषित ऐण्टीना के द्वारा।
प्रश्न 9:
मॉड्यूलेशन (modulation) से क्या तात्पर्य है?
या
मॉड्यूलेशन से आप क्या समझते हैं? (2015, 16, 18)
उत्तर:
यह वह क्रिया है जिसमें उच्च आवृत्ति की वाहक तरंगों के आयाम, आवृत्ति अथवा कला को निम्न आवृत्ति के सूचना सिगनल के तात्क्षणिक मानों के अनुकूल परस्पर इनके अध्यारोपण के माध्यम से बदला जाता है ।
![]()
प्रश्न 10:
मॉड्यूलित तरंग क्या है? (2014)
उत्तर:
मॉड्यूलेशन की क्रिया में सूचना सिगनल अर्थात् निम्न आवृत्ति की वैद्युत-चुम्बकीय तरंगों को उच्च आवृत्ति की वैद्युत-चुम्बकीय तरंगों पर अध्यारोपित किया जाता है। इनमें सूचना सिगनल को मॉड्यूलक या मॉड्यूलेटिंग तरंगें, उच्च आवृत्ति की वैद्युत-चुम्बकीय तरंगों को वाहक तरंगें तथा इन दोनों के अध्यारोपण के फलस्वरूप प्राप्त परिणामी तरंगों को मॉड्यूलित तरंगें कहते हैं।
प्रश्न 11:
ऐण्टीना का क्या कार्य है? इसकी न्यूनतम लम्बाई कितनी होती है? (2017)
उत्तर:
ऐण्टीना एक प्रकार का ट्रान्सड्यूसर है जो वैद्युत चुम्बकीय तरंगों को प्रसारित करने या ग्रहण करने के काम आता है। ऐण्टीना की न्यूनतम लम्बाई 75 मीटर होती है जो कि व्यावहारिक है।
प्रश्न 12:
3 x 108 Hz आवृत्ति की वाहक तरंगों के लिए द्विध्रुव ऐण्टीना की लम्बाई क्या होनी चाहिए? (2014)
हल:
वांछित लम्बाई

प्रश्न 13:
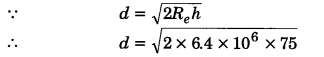
एक दूरदर्शन टॉवर की ऊँचाई 75 मीटर है। अधिकतम दूरी क्या है जो यह दूरदर्शन प्रसारण ग्रहण कर सकती है? (Re = 6.4 x 106 मीटर) (2015, 18) हल:
दिया है, h= 75 मीटर, d = ? , Re = 6.4 x 106 मीटर


प्रश्न 14:
एक टी.वी. टॉवर की ऊँचाई एक दिए गए स्थान पर 500 मी है। यदि पृथ्वी की त्रिज्या 6400 किमी हो तो इसके प्रसारण परास की गणना कीजिए। (2017, 18)
हल:
दिया है, h = 500 मी, Re = 6400 किमी = 6.4 x 106 मी

प्रश्न 15:
एक वाहक तरंग जिसकी शिखर वोल्टता 12 वोल्ट है किसी संदेश सिगनल को प्रेषित करने के लिए उपयोग की जाती है। मॉडयूलित सिगनल की शिखर वोल्टता क्या होनी चाहिए? (2014)
हल:

प्रश्न 16:
आयाम मॉड्यूलन क्या है? (2014)
उत्तर:
मॉड्यूलन की वह प्रक्रिया जिसमें वाहक तरंग के आयाम को मॉड्यूलक या मॉड्यूलेटिंग तरंग (सूचना संकेत) के तात्क्षणिक मान द्वारा परिवर्तित किया जाता है, जबकि वाहक तरंग के अन्य दो प्राचल आवृत्ति तथा कला अपरिवर्तित रहते हैं, आयाम मॉड्यूलन कहलाती है।
![]()
प्रश्न 17:
आयाम मॉड्यूलेशन संचार व्यवस्था की बैण्ड-चौड़ाई का सूत्र लिखिए। (2017)
उत्तर:
बैण्ड-चौड़ाई = 2 x मॉड्यूलक सिगनल की आवृत्ति।
प्रश्न 18:
मॉड्यूलन सूचकांक क्या है? इसकी क्या महत्ता है? (2017)
उत्तर:
मॉड्यूलक तरंग के आयाम तथा वाहक तरंग के आयाम के अनुपात को मॉड्यूलन सूचकांक कहते हैं। यह उस सीमा को प्रदर्शित करता है जहाँ तक वाहक तरंग का आयाम सूचना सिगनल द्वारा परावर्तित होता है।
प्रश्न 19:
आवृत्ति मॉड्यूलन (FM) से आप क्या समझते हैं? (2016)
उत्तर:
जब उच्च आवृत्ति की वाहक तरंगों की आवृत्ति को श्रव्य संकेतों के संगत आयामों के अनुरूप परिवर्तित किया जाता है, तो उनके परस्पर अध्यारोपण की प्रक्रिया आवृत्ति मॉड्यूलन कहलाती है।
![]()
प्रश्न 20:
एक वाहक तरंग प्रदर्शित की जाती है।
c(t) = 4 sin (8πt) volt यदि मॉडुलक सिगनल तरंग का आयाम 1.0 volt हो तब मॉडुलन सूचकांक का मान क्या है? (2017)
हल:
दिया है, Em = 1.0V
Ec = 4V
मॉडुलन सूचकांक, ma = [latex]\frac { { E }_{ m } }{ { E }_{ c } }[/latex] = [latex]\frac { 1 }{ 4 }[/latex] = 0.25
लघु उत्तरीय प्रश्न
प्रश्न 1:
संचार व्यवस्था के मुख्य अवयव कौन-कौन से हैं? ब्लॉक आरेख खींचकर समझाइए। (2017)
या
रेडियो संचार व्यवस्था का नामांकित ब्लॉक आरेख बनाइए। (2014, 16, 17)
उत्तर:
संचार व्यवस्था के अवयव
ऐसी व्यवस्था जिसके द्वारा सन्देशों अथवा सूचनाओं को एक स्थान से किसी विधि द्वारा (जैसे केबल्स द्वारी अथवा विद्युत-चुम्बकीय तरंगों द्वारा) सम्प्रेषित किया जाता है तथा दूसरे स्थान पर इनको ग्रहण किया जाता है, संचार व्यवस्था कहते हैं। संचार व्यवस्था के निम्नलिखित तीन अवयव होते हैं
1. प्रेषित्र (Transmitter):
यह मूल सन्देश (सूचना, भाषण) सिगनल को एक उचित सिगनल में बदलता है, जिसे उचित माध्यम से गुजारा जा सके; इसे सम्प्रेषण चैनल कहते हैं। जब वक्ता तथा श्रोता के बीच बहुत अधिक दूरी होती है। ३) मॉड्यूलेटर प्रवर्धक तो केबल्स (cables) सम्प्रेषण चैनल का कार्य नहीं कर सकतीं (UPBoardSolutions.com) ऐसी स्थिति में ध्वनि को माइक्रोफोन द्वारा विद्युत सिगनलों में बदला जाता है, उनकी शक्ति, प्रवर्धक द्वारा बढ़ायी जाती है। अभिग्राही तत्पश्चात् इसको रेडियो आवृत्ति की वाहक तरंगों (carrier waves) के साथ मॉड्यूलित किया जाता है और अन्त में ऐण्टीना द्वारा विद्युत-चुम्बकीय तरंगों के रूप में अन्तरिक्ष (space) में प्रेषित किया जाता है।

2. संचार चैनल (Transmission Channel):
वह माध्यम जिसके द्वारा प्रेषित्र से भेजी गई विद्युत-चुम्बकीय तरंगों के रूप में सूचना अथवा भाषण अभिग्राही के ऐण्टीना तक पहुँचती हैं, संचार चैनल कहलाता है। यह तारों का एक युग्म अथवा केबल, बेतार अर्थात् मुक्त आकाश हो सकता है।
3. अभिग्राही (Receiver):
यह प्रेषित्र द्वारा भेजे गये परावर्द्धित सिगनल को वास्तविक सन्देश अथवा सूचना में परिवर्तित करता है। यह प्रक्रिया डिमॉड्यूलेशन (demodulation) कहलाती है। जब अभिग्राही के ऐण्टीना पर मॉड्यूलित तरंग पहुँचती है तो वहाँ श्रव्य तरंगें उनसे अलग कर . ली जाती हैं। इनको प्रवर्धित करके लाउडस्पीकर में भेजा जाता है। जहाँ इन्हें पुन: ध्वनि तरंगों में परिवर्तित कर लेते हैं। संचार व्यवस्था का योजनाबद्ध ब्लॉक आरेख चित्र 15.4 में प्रदर्शित है।
![]()
प्रश्न 2:
वायुमण्डल में आकाश तरंगों के संचरण को स्पष्ट कीजिए।
या
सिद्ध कीजिए कि आकाश तरंगों के संचरण हेतु एक टी.वी.प्रेषी ऐण्टीना जो पृथ्वी तल से h ऊँचाई पर है, का प्रसारण परास d = [latex]\sqrt { 2Rh }[/latex] है, जहाँ पृथ्वी की त्रिज्या है? (2015, 17)
या
आकाश तरंगों के संचरण को समझाइए। इन तरंगों के संचरण के लिए प्रयुक्त आवृत्ति परास क्या है? (2015)
या
तरंग संचरण में दृष्टि रेखा पक्ष (LOS)’ से क्या तात्पर्य है? किन तरंगों में इसका प्रयोग होता है? (2018)
उत्तर:
आकाश तरंगों का संचरण (Propagation of space waves or tropospherical waves):
रेडियो तरंग संचरण की अन्य विधा आकाश तरंग है। आकाश तरंग, प्रेषण ऐण्टीना से अभिग्राही ऐण्टीना तक दृष्टि रेखा पथों (line of sight : LOS) पर गमन करती है। (UPBoardSolutions.com) 40 MHz से ऊँची आवृत्तियों के लिये संचार मुख्यत: दृष्टि रेखा पथों तक ही सीमित रहता है। इन आवृत्तियों पर ऐण्टीना का साइज अपेक्षाकृत छोटा होता है तथा इसे पृथ्वी के पृष्ठ से कई तरंगदैर्यो की ऊँचाई पर स्थापित किया जा सकता है।

टी०वी० सिगनलों (80-200 MHz) को न तो भू-तरंगों द्वारा (पृथ्वी के समीप वायुमण्डल द्वारा उनके उच्च अवशोषण के कारण) संचरित किया जा सकता है और न व्योम तरंगों द्वारा (आयनमण्डल से उनके परावर्तन न होने के कारण)। इन सिगनलों को केवल तभी प्राप्त किया जा सकता है जब ग्राही ऐण्टीना प्रेषक ऐण्टीना से चलने वाले सिगनल के मार्ग में पड़े। टी०वी० का अधिक क्षेत्र विस्तार प्राप्त करने के (UPBoardSolutions.com) लिये प्रसारण ऊँचे ऐण्टीना से करना चाहिए।
टी०वी० ऐण्टीना की ऊँचाई है तथा वह दूरी d जहाँ तक सिगनल प्रेषित किये जा सकते हैं, सम्बन्ध ज्ञात करने के लिये, माना ST टी०वी० का है ऊँचाई को प्रेषित्र ऐण्टीना है तथा पृथ्वी का केन्द्र O एवं त्रिज्या R है (चित्र 15.5)। पृथ्वी की वक्रता के कारण पृथ्वी की सतह के बिन्दुओं P तथा २ के परे सिगनल प्राप्त नहीं किये जा सकते। यहाँ PT तथ QT क्रमशः P तथा Q पर स्पर्श रेखाएँ हैं। माना d (= SP अथवा SQ) ऐण्टीना के आधार से पृथ्वी की दूरी है, जहाँ तक सिगनल प्राप्त होते हैं। समकोण त्रिभुज OPT में,
(OT)2 = (OP)2 + (TP)2 जहाँ
OT = R+h,OP= R तथा
TP = SP= d (क्योंकि h<<R )
इस प्रकार (R+h)2 = R2+a2
h2+2Rh = d2
चूंकि h<<R अत: हम h2 को 2Rh के सापेक्ष उपेक्षणीय मान सकते हैं। इस प्रकार
2Rh = d2
अथवा d = [latex]\sqrt { 2Rh }[/latex]
टी०वी० प्रसारण में क्षेत्र विस्तार A= πd2 =2πRh
संचार परास (Range of communication) अथवा दृष्टि रेखा दूरी (Line of sight – distance)-प्रेषी ऐण्टीना तथा ग्राही ऐण्टीना के बीच सरल रेखीय दूरी को संचार परास अथवा दृष्टि रेखा दूरी कहते हैं। इसको । अथवा d से प्रदर्शित करते हैं। यह प्रेषक ऐण्टीना की परास तथा ग्राही ऐण्टीना की परास के योग के बराबर होती है।

यदि प्रेषक ऐटीना की ऊँचाई hT तथा ग्राही ऐण्टीना की ऊँचाई hR हो एवं इनसे क्षैतिज दूरियाँ अर्थात् इनकी परास क्रमश: dT व dR हो, तो
dT = [latex]\sqrt { { 2R }_{ e }{ h }_{ T } }[/latex] तथा dr = [latex]\sqrt { { 2R }_{ e }{ h }_{ R } }[/latex];
जहाँ, Re= पृथ्वी की वक्रता त्रिज्या।
दोनों ऐण्टीनाऔं के बीच की रेखीय दू्री r = dm = dT + dR = [latex]\sqrt { { 2R }_{ e }{ h }_{ T } }[/latex] + [latex]\sqrt { { 2R }_{ e }{ h }_{ R } }[/latex]
इस तरंग संचरण का प्रयोग टेलीविजन प्रसारण, माइक्रोवेव-लिंक तथा सैटेलाइट संचार आदि संचार प्रणालियों में किया जाता है।
![]()
प्रश्न 3:
निम्नलिखित आवृत्तियों की वाहक तरंगों के लिए ऐण्टीना की आवश्यक ऊँचाई ज्ञात कीजिए
(i) 30 MHz
(ii) 300 MHz
(iii) 6 x 108 Hz
प्राप्त परिणामों से किस फल को प्राप्त करोगे?
हल:

प्रश्न 4:
आयाम मॉडुलन से आप क्या समझते हैं? एक आयाम मॉडलित तरंग प्राप्त करने का नामांकित परिपथ बनाइए। (2017)
उत्तर:
जब उच्च आवृत्ति की वाहक तरंगों के आयाम को निम्न आवृत्ति के श्रव्य सिगनलों के संगत आयामों के अनुरूप परिवर्तित किया जाता है तो उनके परस्पर अध्यारोपण की (UPBoardSolutions.com) प्रक्रिया आयाम मॉडुलन कहलाती है। चित्र 15.7 में परिणामी आयाम मॉडुलित तरंग प्रदर्शित है

प्रश्न 5:
एक मॉड्यूलित तरंग का अधिकतम आयाम 11 वोल्ट तथा न्यूनतम आयाम 3 वोल्ट है। मॉड्यूलन सूचकांक का मान ज्ञात कीजिए। (2014)
हल:
दिया है, Emax = 11 V, Emin = 3V
∴ Ec + Em = 11V …(1)
तथा Ec – Em = 3V …(2)
समी० (1) व समी० (2) को हल करने पर,
Ec = 7 v तथा
Em = 4V
मॉड्यूलन सूचकांक ma=[latex]\frac { 4 }{ 7 }[/latex] = 0.57
![]()
प्रश्न 6:
मॉड्यूलित वाहक तरंग के अधिकतम एवं न्यूनतम आयाम क्रमशः 900 mV तथा 300 mV हैं। मॉड्यूलन सूचकांक की गणना कीजिए। (2015)
हल:
दिया है, Emax = 900 mV, Emin = 300 mV
∴ Ec + Em = 900 mV ……….(1)
तथा Ec – Em = 300 mV ………..(2)
समी० (1) वे समी० (2) को हल करने पर,
Ec = 600 mV, Em = 300 mV
∴ मॉड्यूलन सूचकांक ma = [latex]\frac { { E }_{ m } }{ { E }_{ c } }[/latex] = [latex]\frac { 300mV }{ 600mV }[/latex] = 0.5
प्रश्न 7:
2 x 105 हर्ट्ज आवृत्ति तथा अधिकतम वोल्टेज 60 वोल्ट की वाहक तरंग को श्रव्य तरंग em = 30 sin 2π x 2500t वोल्ट द्वारा मॉडुलित किया जाता है। ज्ञात कीजिए
(i) मॉडुलन प्रतिशतता
(ii) मॉडुलित तरंग के घटक की आवृत्ति (2017)
उत्तर:
दिया है, Ec = 60 वोल्ट तथा fc = 2 x 105 हज
श्रव्ये तरंग em = 30 sin 2π x 2500t वोल्ट
अतः Em = 30 वोल्ट तथा fm = 2500 वोल्ट
(i) मॉडुलन गुणक (ma) = [latex]\frac { { E }_{ m } }{ { E }_{ c } }[/latex] = [latex]\frac { 30 }{ 60 }[/latex] = 0.5
अतः मॉडुलन प्रतिशतता = 0.5 x 100 = 50%
(ii) मॉडुलित तरंग के घटक की आवृत्ति = fc +fm
= 2 x 105 + 2500 = 202500 हर्ट्ज
= 202.5 किलोहर्ट्ज
दीर्घ उत्तरीय प्रश्न
प्रश्न 1:
उपग्रह संचार पर संक्षिप्त टिप्पणी लिखिए।
उतर:
उपग्रह संचार (Satellite communication):
अन्तरिक्ष तरंग संचरण विधि द्वारा पृथ्वी के सम्पूर्ण क्षेत्र को आवरित नहीं किया जा सकता, क्योंकि विषम भौगोलिक परिस्थितियों (जैसे, मध्य में कई महासागर आदि) के कारण निरन्तर पुनरावर्तक (repeater) लगाना सम्भव नहीं है। अतः इसके लिए आवश्यक है कि संचार उच्च आवृत्ति पर हो। 30 MHz से अधिक आवृत्ति की तरंगें परम्परागत विधियों द्वारा संचारित नहीं की जा सकतीं। इसके लिए संचार उपग्रहों का प्रयोग किया जाता है।
संचार उपग्रह एक ऐसा उपग्रह है जो पृथ्वी के चारों ओर पश्चिम से पूर्व की ओर वृत्ताकार कक्षा में इस प्रकार परिक्रमण करता है कि इसका आवर्त काल पृथ्वी के अपनी (UPBoardSolutions.com) अक्ष के परितः घूर्णन काल के बराबर अर्थात् 24 घण्टे हो। इसलिए यह उपग्रह पृथ्वी के सापेक्ष सदैव स्थिर प्रतीत होता है। इस प्रकार लम्बी दूरी के संचरण के लिए इन संचार उपग्रहों का प्रयोग किया जाता है। इनको भूस्थिर उपग्रह अथवा तुल्यकालिक उपग्रह भी कहते हैं।
इस प्रकार के संचार उपग्रहों में माइक्रो तरंग सिगनल के अभिग्रहण तथा प्रेषण के लिए आवश्यक उपकरण (रेडियो ट्रॉन्सपोंडर) लगे रहते हैं। पृथ्वी के प्रेषित्र स्टेशन से एक आवृत्ति (अपलिंक) के माइक्रो तरंग सिगनल उपग्रह की ओर प्रेषित किये जाते हैं। ये सिगनल उपग्रह पर लगे उपकरणों द्वारा ग्रहण कर संशोधित एवं प्रवर्धित किये जाते हैं तथा तत्पश्चात् एक अन्य आवृत्ति (डाउनलिंक) पर पृथ्वी पर ग्राही स्टेशन की ओर प्रेषित कर दिये जाते हैं। अपलिंक तथा डाउनलिंक की दोनों भिन्न आवृत्तियाँ सूक्ष्म तरंग अथवा UHF क्षेत्र में पड़ती हैं। इतनी उच्च आवृत्ति की तरंगें आयन मण्डल को पार कर जाती हैं। अत: पृथ्वी पर प्रेषित (UPBoardSolutions.com) तथा ग्राही ऐण्टीनों को निश्चित झुकाव कोणों पर रखा जाता है। उपग्रह संचार प्रणाली की आवृत्ति परास 1GHz से 10 GHz होती है। इस संचार प्रणाली की विशेषता यह है कि उपग्रह संचार बिना किसी विक्षोभ के काफी बड़ी दूरियों को आवंटित करता है। यह लम्बी दरियों, दरस्थ पर्वतीय क्षेत्रों के लिए संचार का आसान तथा अपव्ययी संचार माध्यम है। यह टेलीविजन, टेलीफोन तथा मोबाइल फोन सेवाओं के लिए उपयुक्त संचार माध्यम है। गोपनीयता की दृष्टि से यह संचार माध्यम उपयुक्त नहीं है।
चित्र 16.8 में वैद्युत-चुम्बकीय तरंगों, के संचरण की विभिन्न विधियों को दर्शाया गया है।

प्रश्न 2:
मॉड्यूलेशन से क्या तात्पर्य है? इसकी आवश्यकता संचार निकाय में क्यों पड़ती है? (2014, 18)
या
दो कारणों को लिखिए जिससे किसी सिगनल के मॉड्यूलन की आवश्यकता स्पष्ट होती है।
या
सिगनल संचरण के लिए मॉड्यूलेशन की आवश्यकता क्यों है? (2015, 16, 18)
उत्तर:
सामान्यतः भेजे जाने वाले डिजिटल एवं एनालॉग सिगनलों को इनके मूलरूप में नहीं भेजा जा सकता है, चूंकि इन सिगनलों की आवृत्ति बहुत कम होती है। इस तरह के (UPBoardSolutions.com) सिगनलों को भेजने के लिए वाहक की आवश्यकता होती है। ये वाहक उच्च आवृत्ति की तरंगें (संकेत या सिगनल) होती हैं। मॉड्यूलेशन को निम्न प्रकार से परिभाषित किया जा सकता है ।
“अल्प आवृत्ति के संकेत (सिगनल) को उच्च आवृत्ति के संकेते पर लंदना ‘भाँड्यूलेशन’ कहलाता है।”
मॉड्यूलेशन की आवश्यकता (Need of Modulation):
संचार निकाय में संदेश सिगनलों को (जिन्हें आधार बैण्ड सिगनल भी कहते हैं) दूरस्थ स्थानों को प्रेषित करना होता है। संदेश सिगनल श्रव्य आवृत्ति (UPBoardSolutions.com) परास (20 Hz से 20000 Hz) में होते हैं। इनको पहले माइक्रोफोन द्वारा वैद्युत सिगनल में बदला जाता है जिनकी आवृत्ति परास भी (20 Hz से 20000 Hz) ही होती है। इन सिगनलों को अधिक दूरी तक संप्रेषित नहीं किया जा सकता है, क्योंकि इसमें निम्नलिखित कठिनाइयाँ आती हैं
1. ऐण्टीना का आकार (Size of antenna):
किसी सिगनल के सम्प्रेषण के लिए आवश्यक है। कि ऐण्टीना का आकार प्रेषित किये जाने वाले सिगनल की तरंगदैर्ध्य की कोटि का होना चाहिए।
अतः

अत: इन तरंगों को प्रेषित करने के लिए 100 मीटर लम्बाई के ऐण्टीना की आवश्यकता होगी जिसको आसानी से प्राप्त किया जा सकता है। अतः प्रेषण से पूर्व न्यून आवृत्ति आधार बैण्ड सिगनल में निहित सूचना को उच्च रेडियो आवृत्तियों में रूपान्तरित करने की आवश्यकता होती है।
2. कम शक्ति का प्रभावी विकिरण (Effect low power radiation):
विकिरण के सैद्धान्तिक अध्ययन के आधार पर l लम्बाई के रेखीय ऐण्टीना द्वारा विकरित शक्ति P तरंगदैर्घ्य λ के वर्ग के व्युत्क्रमानुपाती होती है। चूंकि P α (1/λ)2अत: । के नियत मान के लिए P α 1/λ2
अतः स्पष्ट है कि लम्बी तरंगदैर्घ्य (निम्न आवृत्ति) के आधार बैण्ड सिगनल द्वारा प्रभावी शक्ति विकिरण कम होगा। परन्तु अच्छे प्रेषण के लिए उच्च शक्ति चाहिए जो कम तरंगदैर्घ्य (उच्च आवृत्ति) के आधार बैण्ड सिगनल से सम्भव है। इस प्रकार यह तथ्य प्रेषण के लिए उच्च आवृत्ति के उपयोग की आवश्यकता दर्शाता है।
3. विभिन्न प्रेषित्रों से प्राप्त सिगनलों का मिश्रण: आधार बैण्ड सिगनलों के सीधे प्रेषण के विरूद्ध निम्नलिखित महत्त्वपूर्ण तर्क अधिक व्यावहारिक हैं जब एक ही क्षण कई आधार बैण्ड सिगनल प्रेषित किये जा रहे होते हैं तो ये परस्पर मिल जाते हैं। तथा उनमें विभेद करने का कोई सरल उपाय नहीं है। इस कठिनाई को दूर करने के लिए सिगनलों को उच्च आवृत्ति पर प्रेषित करते हैं तथा प्रत्येक प्रसारण स्टेशन को एक बैण्ड आवंटित करते हैं। उपरोक्त सभी बिन्दुओं से यह स्पष्ट होता है कि न्यून आवृत्ति के मूल आधार बैण्ड (UPBoardSolutions.com) अर्थात् सूचना सिगनल को प्रेषण से पूर्व किसी उच्च आवृत्ति तरंग में रूपान्तरित करना आवश्यक है। यह रूपान्तरण क्रिया इस प्रकार की होनी चाहिए कि रूपान्तरित सिगनल में उन सभी सूचनाओं का समावेश रहे जो मूल सिगनल में समाहित थे। ऐसा करने के लिए हम किसी उच्च आवृत्ति सिगनल की सहायता लेते हैं। इस सिगनल को वाहक तरंग (carrier wave) कहते हैं। इस प्रकार उपर्युक्त सभी बिन्दु मॉड्यूलेशन की आवश्यकता को स्पष्ट करते हैं।
![]()
प्रश्न 3:
मॉड्यूलन तथा विमॉड्यूलन से क्या अभिप्राय है? एक आयाम मॉड्यूलित तरंग को प्राप्त करने व संसूचित करने को परिपथ आरेख द्वारा समझाइए। (2015, 17)
या
आयाम मॉड्यूलन की व्याख्या कीजिए तथा किसी आयाम मॉड्यूलन को परिपथ आरेख बनाइए। (2015)
या
मॉड्यूलन से आप क्या समझते हैं? आयाम मॉड्यूलित तरंग के उत्पादन हेतु आवश्यक नामांकित परिपथ आरेख बनाइए। (2015, 16, 18)
उत्तर:
मॉडयलन: दीर्घ उत्तरीय प्रश्न 2 के उत्तर के अन्तर्गत देखिए।
विमॉड्थूलिन : मॉड्यूलित तरंग से श्रव्य सिगनल (audio signal) अर्थात् सूचना सिगनल को पुनः प्राप्त करने की क्रिया संसूचन अथवा विमॉड्यूलन (Demodulation) कहलाती है।

आयाम मॉड्यूलित (मॉड्यूलेटिड) तरंग प्राप्त करना
आयाम मॉड्यूलित तरंग के उत्पादन के लिए आवश्यक परिपथ आरेख चित्र 15.9 में दर्शाया गया है। यह परिपथ वाहक तरंग सिगनल के लिए
सामान्यतः एक उभयनिष्ठ उत्सर्जक वाहक प्रवर्धक है। मॉड्यूलक सिगनल [em = Em sinωm .t] आधार पर आरोपित किया जाता है। इस प्रकार निर्गम आधार (UPBoardSolutions.com) बायसिंग वोल्टता नियत d.c वोल्टता नहीं है, बल्कि यह नियत d.c. वोल्टता VBB तथा मॉड्यूलक वोल्टता a.c [em = Em sinωm.t] का योग है।
चित्र 15.9 अत: आधार वोल्टता नियत न रहकरे । मॉड्यूलक सिगनल के तात्कालिक मान के अनुसार परिवर्तित होती रहती है। इस प्रकार प्रवर्धन भी परिवर्तित होता है। अतः निर्गम वोल्टता भी उसी के अनुसार परिवर्तित होती रहती है। इस प्रकार निर्गम में आयाम मॉड्यूलित तरंग प्राप्त हो जाती है। उत्पादन प्रक्रिया को ब्लॉक चित्र 15.10 में प्रदर्शित है।

आयाम मॉड्यूलित तरंग का संसूचन
आयाम मॉड्यूलेटिड तरंग को संसूचित करने में निम्नलिखित दो क्रियाएँ होती हैं
(i) मॉड्यूलित तरंग (UPBoardSolutions.com) का दिष्टीकरण (Rectification),
(ii) मॉझ्यालित तरंग से वाहक तरंग (रेडियो आवृत्ति) घटक को अलग करना। आयाम मॉड्यूलित तरंग के संसूचन अर्थात् विमॉड्यूलेशन के लिए आवश्यक परिपथ आरेख चित्र 15.11 में दर्शाया गया है।

निवेशी परिपथ स्वप्रेरकत्व L1 तथा परिवर्ती संधारित्र C1 का समान्तर संयोजन है। इसको ट्यून्ड परिपथ (tuned circuit) कहते हैं। ग्राही के ऐण्टीना पर प्राप्त विभिन्न (UPBoardSolutions.com) सिगनलों से वांछित मॉड्यूलित रेडियो सिगनल C1 की आवृत्ति को व्यवस्थित करके अनुनाद के आधार पर चयनित कर लिया जाता है।
डायोड D इस सिगनल को दिष्टीकृत कर देता है। अतः डायोड का निर्गम, रेडियो आवृत्ति की धारा स्पन्दों के धनात्मक आधे वक्रों की चेन है। इन सिगनलों के शिखर श्रव्य सिगनलों के अनुसार परिवर्तित होते हैं। श्रव्य सिगनलों को पुनः प्राप्त करने के लिए डायोड दिष्टीकृत निर्गम को कम मान के (UPBoardSolutions.com) संधारित्र C2 तथा एक लोड प्रतिरोध RL के समान्तर संयोजन पर आरोपित किया जाता है। संधारित्र C2 उच्च आवृत्ति की वाहक तरंगों के लिए निम्न प्रतिघात ( Xc= [latex]\frac { 1 }{ 2\pi f{ C }_{ 2 } }[/latex]) तथा निम्न आवृत्ति की श्रव्य तरंगों के लिए उच्च प्रतिघात उत्पन्न करता है। अत: उच्च आवृत्ति की वाहक तरंगें इस संधारित्र से निकल जाती हैं। तथा निम्न आवृत्ति की श्रव्य तरंगें लोड प्रतिरोध RLपर प्राप्त हो जाती हैं। अत: यह हैडफोन में धारा भेजता है जिससे कि मूल श्रव्य सिगनल पुन: प्राप्त हो जाता है।।
संसूचन प्रक्रिया (विमॉड्यूलेशन) का ब्लॉक आरेख
संसूचन के लिए संतोषजनक प्रतिबन्ध: फिल्टर परिपथ से जुड़े संधारित्र की धारिता इतनी होनी चाहिए कि रेडियो आवृत्ति fc के लिए इसका प्रतिघात ( Xc =[latex]\frac { 1 }{ { \omega }_{ c }C }[/latex] )प्रतिरोध R की तुलना में बहुत कम हो अर्थात्
Xc <<R अथवा [latex]\frac { 1 }{ 2\pi { f }_{ c }C }[/latex] << R
जबकि श्रव्य-आवृत्ति f के लिए इसका प्रतिघात, प्रतिरोध है की तुलना में बहुत अधिक हो अर्थात्
[latex]\frac { 1 }{ { \omega }_{ m }C }[/latex] >> R या [latex]\frac { 1 }{ 2\pi { f }_{ m }C }[/latex] >> R
We hope the UP Board Solutions for Class 12 Physics Chapter 15 Communication Systems (संचार व्यवस्था) help you. If you have any query regarding UP Board Solutions for Class 12 Physics Chapter 15 Communication Systems (संचार व्यवस्था), drop a comment below and we will get back to you at the earliest.