Free PDF download of UP Board Solutions for Class 6 Maths Chapter 3 पूर्णांक are prepared by our expert faculty at UP Board Solutions. These UP Board Solutions for Class 6 Maths help the students in solving the problems easy and efficiently.
UP Board Solutions for Class 6 Maths Chapter 3 पूर्णांक
अभ्यास 3(a)
प्रश्न 1.
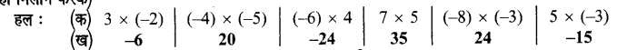
निम्नांकित सारणियों में रिक्त स्थानों की पूर्ति के लिए सारणी के नीचे चार विकल्प दिए गए हैं। जिसमें से केवल एक ही सही है। सही विकल्प चुनकर रिक्त स्थानों की पूर्ति कीजिए-

प्रश्न 3.
निम्नलिखित को पूर्णांक के रूप में लिखिए। पूर्व को धन दिशा तथा समुद्र तल से ऊँचाई को धन दिशा मानिए (लिखकर) –
(i) शून्य से नीचे 4° सेल्सियस का तापक्रम
उत्तर-
-4°C
(ii) 7 कदम पूर्व ।
उत्तर-
+7
(iii) ₹ 3.28 रुपये की हानि
उत्तर-
₹ -3.28
(iv) 18 मी पश्चिम का विस्थापन
उत्तर-
-18 मी
(v) समुद्र तल से 1,000 मीटर ऊँचाई
उत्तर-
1000 मी
![]()
प्रश्न 4.
निम्नलिखित को पूर्णांकों के योगात्मक प्रतिलोम लिखिए (लिखकर) –
(i) +9 का योगात्मक प्रतिलोम = -9
(ii) -21 का योगात्मक प्रतिलोम = +21
(iii) +39 का योगात्मक प्रतिलोम = -39
(iv) -41 का योगात्मक प्रतिलोम = +41
(v) +91 का योगात्मक प्रतिलोम = -91
प्रश्न 5.
संख्या-रेखा खींचिए। उस पर निम्नांकित पूर्णांकों को प्रदर्शित कीजिए
(क) +4
(ख) -9
(ग) +7
(घ) -3
(ङ) -6
उत्तर-
![]()
प्रश्न 6.
पूर्णांकों को ऊर्ध्वाधर संख्या रेखा पर भी दिखा सकते हैं। जिस पर ऊपर की दिशा को धनात्मक तथा नीचे की दिशा को ऋणात्मक माना जाता है। पाश्र्वांकित संख्या रेखा देखिए और निम्नांकित प्रश्नों के उत्तर दीजिए।

(क) A बिन्दु +7 है। कौन-सा बिन्दु -7 है?
उत्तर-
E बिन्दु।
![]()
(ख) बिन्दु B किस पूर्णांक को निरूपित करता है?
उत्तर-
-3
(ग) बिन्दु B का विपरीत बिन्दु बताइए।
उत्तर-
C
(घ) बिन्दु D, K और L से निरूपित पूर्णांक लिखिए।
उत्तर-
बिन्दु D, K और L से निरूपित पूर्णांक क्रमशः +5, -5 तथा +6 हैं।
(ङ) बिन्दुओं D, K और L के विपरीतों को बताइए।
उत्तर-
बिन्दु D, K और L के विपरीत (UPBoardSolutions.com) क्रमशः K, D तथा M हैं।
प्रश्न 7.
निम्नांकित के बीच के सभी पूर्णांक लिखिए।
(क) -2 और +3
उत्तर-
-2 और +3 के बीच के पूर्णांक = -1, 0, +1, +2 ।
![]()
(ख) 0 और 6
उत्तर-
0 और 6 के बीच के पूर्णांक = +1, +2, +3, +4, +5
(ग) -4 और 4
उत्तर-
-4 और 4 के बीच के पूर्णांक = -3, -2, -1, 0, +1, +2, +3
(घ) -5 और +2
उत्तर-
-5 और +2 के बीच (UPBoardSolutions.com) के पूर्णांक = -4, -3, -2, -1, 0, +1
(ङ) -3 और +5
उत्तर-
-3 और +5 के बीच के पूर्णांक = -2, -1, 0, +1, +2, +3, +4
(च) -8 और 4
उत्तर-
-8 और +4 के बीच के पूर्णांक = -7, -6, -5, -4, -3, -2, -1, 0, +1, +2, +3
![]()
प्रश्न 8.
निम्नांकित संख्या रेखा देखिए –
![]()
इसकी सहायता से निम्नांकित पूर्णांकों के जोड़े के बीच के पूर्णाकों को आरोही (बढ़ते हुए) क्रम में लिखिए।
(क) 2, 5
उत्तर-
2 और 5 के बीच के पूर्णांक = 3,4
(ख) -4, 0
उत्तर-
-4 और 0 के बीच के पूर्णांक = -3, -2, -1
(ग) 3,8
उत्तर-
3 और 8 के बीच के पूर्णांक = 4, 5, 6, 7
(घ) 0, 4
उत्तर-
0 और 4 के बीच के पूर्णांक = 1, 2, 3
(ङ) -5, -2
उत्तर-
-5 और -2 के बीच के पूर्णांक = 4, -3
![]()
(च) -1, 4
उत्तर-
-1 और 4 के बीच के पूर्णांक = 0, 1, 2, 3
प्रश्न 9.
निम्नलिखित के मान ज्ञात कीजिए।
(क) |-13| = 13
(ख) |12| = 12
(ग) |-37| = 37
(घ) |0| = 0
(ङ) |47| = 47
(च) |101| = 101
प्रश्न 10.
अपनी अभ्यास पुस्तिका में सत्य या असत्य कथन की पहचान कर लिखिए (सत्य-असत्य की पहचान करके)-
उत्तर-
(क) सबसे छोटा पूर्णांक शून्य है। (असत्य)
(ख) शून्य का विपरीत नहीं होता है। (सत्य)
(ग) -17 > -5 (असत्य)
(घ) एक धनात्मक पूर्णांक अपने योगात्मक प्रतिलोम से बड़ा होता है। (सत्य)
(ङ) एक ऋणात्मक पूर्णांक अपने योगात्मक प्रतिलोम से बड़ा होता है। (असत्य)
(च) शून्य का योगात्मक (UPBoardSolutions.com) प्रतिलोम शून्य है। (सत्य)
अभ्यास 3(b)
प्रश्न 1.
निम्नांकित प्रश्नों (1-2) में केन्द्रीय खाने की संख्या उसके चारों ओर के पटलों पर अंकित संख्याओं से किसी प्रकार सम्बन्धित है। प्रश्न चिह्न (?) वाली संख्या ज्ञात कीजिए-

प्रश्न 3.
अपनी अभ्यास पुस्तिका में खाली जगह भरिए (भरकर) –
(क) दो पूर्णांकों का योगफल सदैव पूर्णांक होता है।
(ख) दो धन पूर्णांकों का योगफल धन पूर्णांक होता है।
(ग) दो ऋण पूर्णांकों का योगफल ऋण पूर्णाक होता है।
![]()
प्रश्न 4.
सत्य अथवा असत्य बताइए (सत्य-असत्य बताकर) –
(क) किसी पूर्णांक तथा इसके योगात्मक प्रतिलोम का योगफल शून्य होता है। (सत्य)
(ख) शून्य ऋण (UPBoardSolutions.com) पूर्णाक है। (असत्य)
(ग) दो ऋण पूर्णांकों का योगफल धन पूर्णांक होता है। (असत्य)
(घ) किसी पूर्णांक और शून्य का योगफल उस पूर्णांक के बराबर होता है। (सत्य)
(ङ) एक ऋण और एक धन पूर्णांक को योगफल सदैव धन पूर्णांक होता है। (असत्य)
(च) संख्या रेखा पर -18 और + 18 शून्य से समान दूरी पर हैं। (सत्य)
(ज) दो धन पूर्णांकों का योगफल सदैव धन पूर्णांक होता हैं। (सत्य)
अभ्यास 3(c)
प्रश्न 1.
प्रश्नवाचक चिह्न (?) के स्थान पर कौन-सी संख्या होगी?

उत्तर-
(i) 54
प्रश्न 2.
प्रत्येक पूर्णांक का पूर्ववर्ती ज्ञात कीजिए (ज्ञात करके) –
(i) 6
उत्तर-
6 की पूर्ववर्ती
(ii) -4
उत्तर-
-4 की पूर्ववर्ती
![]()
(iii) -19
उत्तर-
-19 की पूर्ववर्ती = -20
(iv) -996
उत्तर-
-996 की पूर्ववर्ती = -997
(v) 0
उत्तर-
0 की पूर्ववर्ती = -1

प्रश्न 4.
खाली जगह भरिए (भरकर) –

![]()
प्रश्न 5.
प्रत्येक पूर्णांक का उत्तरवर्ती ज्ञात कीजिए (ज्ञात करके) –
(i) 7
उत्तर-
7 की उत्तरवर्ती संख्या = 8
(ii) -5
उत्तर-
-5 की उत्तरवर्ती संख्या = -4
(iii) -20
उत्तर-
-20 की उत्तरवर्ती संख्या = -19
(iv) -997
उत्तर-
-997 की उत्तरवर्ती संख्या = -996
(v) 0
उत्तर-
0 की उत्तरवर्ती संख्या = 1
![]()
प्रश्न 6.
किसी स्थान पर 12 बजे दोपहर तापमान शून्य से 19° सेल्सियस अधिक था तथा अर्द्धरात्रि को तापमान 0° से 2° सेल्सियस कम हो गया था। तापमान में परिवर्तन ज्ञात कीजिए।
हल :
12 बजे दोपहर तापमान = +19°C
अर्द्धरात्रि को तापमान = -2°C
तापमान में परिवर्तन = अर्द्धरात्रि को तापमान – दोपहर का तापमान
= -2°C – (+19°C)
= -2°C – 19°C = -21°C
प्रश्न 7.
प्लेटो का जन्म 429 ईसा पूर्व में हुआ था और 348 ईसा पूर्व में दिवंगत हुए। वे कितने वर्षों तक जीवित रहे?
हल :
प्लेटो पैदा हुए = 429 ईसा पूर्व = -429 ईसवी
प्लेटो दिवंगत हुए = 348 ईसा पूर्व = -348 ईसवी
प्लेटो जीवित रहे = -348 – (429) = -348 + 429 = 81 वर्ष
![]()
प्रश्न 8.
समुद्र तल से अधिकतम गहराई वाला बिन्दु 11600 मीटर नीचे है। अधिकतम ऊँचाई की पर्वत चोटी समुद्र तट से 8846 मीटर ऊँची है। गहराई वाले बिन्दु से चोटी की ऊँचाई बताइए।
हल :
समुद्र तल से अधिकतम गहराई वाला बिन्दु = 11600 मी
समुद्र तल से अधिकतम ऊँचाई = 8846 मी
गहराई वाला बिन्दु से चोटी की ऊँचाई = 8846 मी + 11600 मी = 20446 मी
अभ्यास 3(d)
प्रश्न 1.
रिक्त स्थान भरिए (भरकर)-

प्रश्न 2.
निम्नांकित के मान ज्ञात कीजिए (ज्ञात करके)-
(क) 8 x (4) x (-5) = 160
(ख) (-10) x (-10) x (-10) = -1000
(ग) (-2) x 35 x (-5) = 350
(घ) (-8) x (+57) x 0 = 0
(ङ) (-1) x (-2) x (-3) x (4) = 24
(च) (4) x (8) x (-12) x (-5) = 1920
प्रश्न 3.
निम्नांकित के मान ज्ञात कीजिए –
(क) (-7) x (0) x (-57) x (-57)
हल :
(-7) x (0) x (-57) x (-57)
![]()
(ख) 1456 x 625 – 456 x 625
हल :
1456 x 625 – 456 x 625 = 0
= 625 (1456 – 456)
= 625 x 1000
= 625000
(ग) (-187) x (-54) + (-187) x (46)
हल :
(-187) x (-54) + (-187) x (-46)
= -187[-54 + (46)]
= -187 x (-100)
= 18700
(घ) 18764 x 99 – (-18764)
हल :
18764 x 99 – (-18764)
= 18764 [99 – (-1)]
= 18764 x 100
= 1876400
(ङ) 15341 x (-2) + (-15341) x 98
हल :
15341 x (-2) + (-15341) x 98
= 15341 [-2 + (-98)]
= 15341 x (-100)
= -1534100
![]()
(च) (-8) x {10 – 5 – 43 + 98}
हल :
(-8) x {10-5-43 + 98}
= (8) x 60 = 480
प्रश्न 4.
पंक्ति ‘क’ में दो पूर्णांकों का गुणनफल पंक्ति ‘ख’ में दिये गये हैं। इन्हें मिलान कर लिखिए। (सही मिलान करके)-

प्रश्न 5.
उस पूर्णांक को ज्ञात कीजिए जिसका -1 से गुणनफल है-
(क) -37
(ख) 49
(ग) 0
उत्तर-
(क) -37 ÷ (-1) = 37
(ख) 49 ÷ (-1) = -49
(ग) 0 ÷ (-1) = 0
![]()
प्रश्न 6.
उत्तर के चार विकल्पों में से सही उत्तर बताइए-
(क) (3 + 2) x 7 का मान है।
(i) 3 + 2 x 7
(ii) 3 x 7 + 2
(iii) 3 x 7 + 2 x 7
(iv) 3 x 7 – 2 x 7
हल :
(iii) 3 x 7 + 2 x 7
(ख) (3 – 2) x 6 का मान हैः
(i) 3 x 6 – 2 x 6
(ii) 3 x 6 – 2
(iii) 3 x 6 + 2 x 6
(iv) 3 x 2 x 6
हल :
(i) 3 x 6 – 2 x 6
(ग) (-8) x (-5) का मान है।
(i) -40
(ii) 40
(iii) 13
(iv) उपर्युक्त में कोई नहीं।
हल :
(ii) 40
![]()
(घ) तीन ऋणात्मक पूर्णांकों के गुणनफल में एक धनात्मक पूर्णांक से गुणा करने पर गुणनफल का चिहुन है-
(i) धनात्मक
(ii) न तो धनात्मक और न ऋणात्मक
(iii) ऋणात्मक
(iv) उपर्युक्त में से कोई नहीं।
हल :
(iii) ऋणात्मक
प्रश्न 7.
निम्नलिखित में सत्य या असत्य बताइए (सत्य-असत्य छाँटकर)-
(i) 5 ऋणात्मक पूर्णाकों का सतत गुणनफल धनात्मक होता है। (असत्य)
(ii) दो ऋणात्मक पूर्णांकों का गुणनफल धनात्मक होता है। (सत्य)
(iii) दो पूर्णांकों में यदि केवल एक ऋणात्मक है, तो उनको गुणनफल ऋणात्मक होता है। (सत्य)
(iv) -17 का विपरीत +17 है। (सत्य)
(v) किसी पूर्णांक का विपरीत ज्ञात करने के लिए उसमें शून्य से गुणा करते हैं। (असत्य)
(vi) 1 से किसी पूर्णाक में गुणा करने पर गुणनफल वही पूर्णांक होता है। (सत्य)
अभ्यास 3(e)
प्रश्न 1.
भागफल ज्ञात कीजिए-
(क) 21 ÷ (-3) (ख) -36 ÷ 9

प्रश्न 2.
प्रश्नवाचक चिह्न के स्थान पर संख्या होगी।
(i) (18 – 3) + (9 x 2) – 6 = 15 + 18 – 6 = 27
(ii) (28 + 4) – (10 x 5) + (42) = 32 – 50 + 2 = 34 – 50 = -16
![]()
प्रश्न 3.
स्तम्भ ‘क’ और ‘ख’ दिए गए हैं। स्तम्भ ‘क’ में अंकित भाग के प्रश्नों के उत्तरों स्तम्भ ‘ख’ में अव्यवस्थित क्रम में दिए गए हैं। अपनी अभ्यास-पुस्तिका में स्तम्भ ‘क’ के भाग के प्रश्न का स्तम्भ ‘ख’ में उसके उत्तर से मिलान कीजिए।

प्रश्न 4.
प्रश्न के प्रत्येक खण्ड में उत्तर के चार विकल्प दिए गए हैं। इन उत्तरों में से केवल एक सही है। सही उत्तर अपनी अभ्यास पुस्तिका में लिखिए –
(क) -36 ÷ 9 का चिह्न है :
(i) धन
(ii) ऋण (✓)
(iii) न तो धन और न ऋण
(iv) उपर्युक्त में से कोई नहीं।
(ख) 27 ÷ (-3) का चिहून है :
(i) न तो धन और न ऋण
(ii) धन
(iii) ऋण (✓)
(iv) उपर्युक्त में से कोई नहीं।
(ग) -36 ÷ (4) का चिह्न है :
(i) धन (✓)
(ii) न तो धन और न ऋण
(iii) ऋण
(iv) उपर्युक्त में से कोई नहीं।
![]()
(घ) 28 ÷ 7 के मान का चिहून है :
(i) ऋण
(ii) धन (✓)
(iii) न तो धन और न ऋण
(iv) उपर्युक्त में से कोई नहीं।
अभ्यास 3(f)
प्रश्न 1.
निम्नांकित का मान ज्ञात कीजिए-


प्रश्न 2.
कोष्ठकों की सहायता से निम्नलिखित कथनों के लिए गणितीय पद संहति लिखिए (लिखकर) –
(क) आठ से छः और तीन के योगफल का गुणा।
उत्तर-
8 x (6 + 3)
(ख) अठारह में चार और दो के योगफल का भाग।
उत्तर-
18 ÷ (4 + 2)
![]()
(ग) बीस में छः और दो के अन्तर से भाग।
उत्तर-
20 ÷ (6 – 2)
(घ) चार और पाँच के गुणनफल से बारह को घटाना।
उत्तर-
(4 x 5) – 12
(ङ) चालीस में पाँच और दो के योगफल से एक अधिक संख्या का भाग।
उत्तर-
40 ÷ {(5 + 2) + 1}
(च) तीन से बारह और सात के अन्तर से एक कम संख्या का गुणा।
उत्तर-
3 x {(12 – 7) – 1}
![]()
प्रश्न 3.
सरल कीजिए-



We hope the UP Board Solutions for Class 6 Maths Chapter 3 पूर्णांक help you. If you have any query regarding UP Board Solutions for Class 6 Maths Chapter 3 पूर्णांक, drop a comment below and we will get back to you at the earliest.
Thanks